ÌâÄ¿ÄÚÈÝ
ÈçͼËùʾ£¬A¡¢BÁ½¸öСÎïÌ壨¿É¿´³ÉÖʵ㣩µÄÖÊÁ¿·Ö±ðΪ2m¡¢m£¬ËüÃÇ˨½ÓÔÚ¿ç¹ý¶¨»¬ÂÖµÄϸÉþÁ½¶Ë£¬Ï¸Éþ²»¿ÉÉ쳤£¬ÇÒÄܳÐÊÜ×ã¹»´óµÄÀÁ¦£®BÎïÌåÐüµõמ²Ö¹Ê±£¬AÒ²¾²Ö¹ÔÚµØÃæÉÏ£¬A¡¢BÓ붨»¬ÂÖÂÖÖáÖ®¼äµÄÊúÖ±¾àÀë·Ö±ðΪ2L¡¢L£®ÏÖ½«BÎïÌåÊúÖ±ÏòÉÏÌá¸ß¾àÀël£¬ÔÙ½«Æä´Ó¾²Ö¹ÊÍ·Å£®Ã¿´ÎϸÉþ±»ÀֱʱA¡¢BËٶȵĴóСÁ¢¼´±ä³ÉÏàµÈ£¬ÇÒËÙ¶È·½ÏòÏà·´£¬ÓÉÓÚϸÉþ±»ÀÖ±µÄʱ¼ä¼«¶Ì£¬´Ë¹ý³ÌÖÐÖØÁ¦µÄ×÷ÓÿÉÒÔºöÂÔ²»¼Æ£®ÎïÌåÓëµØÃæ½Ó´¥Ê±£¬ËÙ¶ÈÁ¢¼´±äΪ0£¬Ö±µ½Ôٴα»Ï¸ÉþÀÆð£®Ï¸ÉþʼÖÕÔÚ»¬ÂÖÉÏ£¬ÇÒ²»¼ÆÒ»ÇÐĦ²Á£®ÖØÁ¦¼ÓËÙ¶ÈΪg£®Çó£¨1£©Ï¸ÉþµÚÒ»´Î±»Àֱ˲¼äÉþ¶ÔA³åÁ¿µÄ´óС£»
£¨2£©AµÚÒ»´ÎÉÏÉý¹ý³Ì¾àÀëµØÃæµÄ×î´ó¸ß¶È£»
£¨3£©AÔ˶¯µÄ×Ü·³Ì£®
¡¾´ð°¸¡¿·ÖÎö£º£¨1£©¸ù¾Ý×ÔÓÉÂäÌåÔ˶¯µÄ¹æÂÉ¿ÉÒÔÇóµÃϽµ¸ß¶ÈΪlʱµÄËÙ¶È£¬ÔÙ¸ù¾Ý¶¯Á¿¶¨Àí¿ÉÒÔÇóµÃ¶ÔAµÄ³åÁ¿µÄ´óС£»
£¨2£©¸ù¾ÝA¡¢B×é³ÉµÄϵͳ»úеÄÜÊØºã£¬¿ÉÒÔÇóµÃAÉÏÉýµÄ×î´óµÄ¸ß¶È£»
£¨3£©¸ù¾ÝABÖ®¼äÿ´ÎµÄÏ໥×÷Óã¬ÕÒ³öÏ໥×÷ÓõĹæÂÉ£¬×ܽá¹éÄÉ¿ÉÒÔÇóµÃAÔ˶¯µÄ×Ü·³Ì£®
½â´ð£º½â£º
£¨1£©B×ö×ÔÓÉÂäÌ壬Ͻµ¸ß¶ÈΪlʱµÄËÙ¶ÈΪv£¬¸ù¾Ývt2-v2=2axµÃv=
´ËʱϸÉþ±»ÀÖ±£¬A¡¢BËٶȵĴóСÁ¢¼´±ä³Év1£¬ÉèÉþ×Ó¶ÔA¡¢BµÄ³åÁ¿´óСΪI£¬¸ù¾Ý¶¯Á¿¶¨ÀíµÃ¶ÔB£º-I=mv1-mv¶ÔA£ºI=2mv1½âµÃϸÉþµÚÒ»´Î±»Àֱ˲¼äÉþ¶ÔA³åÁ¿µÄ´óС
£¨2£©ÓÉ£¨1£©¿ÉµÃAµÚÒ»´ÎÀ뿪µØÃæÊ±ËٶȵĴóСv1=
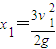
´ÓAÀ뿪µØÃæµ½AÔٴλص½µØÃæµÄ¹ý³ÌÖУ¬A¡¢B×é³ÉµÄϵͳ»úеÄÜÊØºã£¬¼ÙÉèAµÚÒ»´ÎÉÏÉý¹ý³Ì¾àÀëµØÃæµÄ×î´ó¸ß¶ÈΪx1£¬Ôò
½âµÃ
=
£¨3£©´ÓAÀ뿪µØÃæµ½AÔٴλص½µØÃæµÄ¹ý³ÌÖУ¬A¡¢B×é³ÉµÄϵͳ»úеÄÜÊØºã£¬ËùÒÔ£¬AÔٴλص½µØÃæÊ±ËٶȵĴóСÒÀȻΪv1£¬¼´BÔٴλص½¾àÀëµØÃæ¸ß¶ÈΪlʱËٶȵĴóСҲΪv1£®´ËºóB×öÊúÖ±ÉÏÅ×Ô˶¯£¬Â仨¾àÀëµØÃæ¸ß¶ÈΪlʱËٶȵĴóС»¹ÊÇv1£®
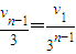
¸ù¾Ý£¨1£©Çó½â¿ÉµÃAµÚ¶þ´ÎÀ뿪µØÃæÊ±ËٶȵĴóСv2=
ͬÀí¿ÉÇóAµÚ¶þ´ÎÀ뿪µØÃæÉÏÉýµÄ×î´ó¸ß¶ÈΪ
¡
AµÚn´ÎÀ뿪µØÃæÊ±ËٶȵĴóСvn=
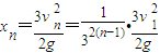
ͬÀí¿ÉÇóAµÚn´ÎÀ뿪µØÃæÉÏÉýµÄ×î´ó¸ß¶ÈΪ
ÓÉÓÚAµÄÖÊÁ¿´óÓÚBµÄÖÊÁ¿£¬A×îÖջᾲֹÔÚµØÃæÉÏ£®
ËùÒÔAÔ˶¯µÄ×Ü·³Ìx=2£¨x1+x2+¡+xn+¡£©=
=
£®
µãÆÀ£º¸ù¾ÝABÖ®¼äµÄµÚÒ»´ÎµÄÏ໥×÷Ó㬷ÖÎö×ܽáÖ®ºóµÄÿ´ÎÏ໥×÷ÓõĹæÂÉ£¬¸ù¾ÝABÏ໥×÷ÓõĹæÂÉÀ´½â´ð±¾Ì⣬ÕÒ³ö¹æÂÉÊǽâ¾ö±¾ÌâµÄ¹Ø¼ü£®
£¨2£©¸ù¾ÝA¡¢B×é³ÉµÄϵͳ»úеÄÜÊØºã£¬¿ÉÒÔÇóµÃAÉÏÉýµÄ×î´óµÄ¸ß¶È£»
£¨3£©¸ù¾ÝABÖ®¼äÿ´ÎµÄÏ໥×÷Óã¬ÕÒ³öÏ໥×÷ÓõĹæÂÉ£¬×ܽá¹éÄÉ¿ÉÒÔÇóµÃAÔ˶¯µÄ×Ü·³Ì£®
½â´ð£º½â£º
£¨1£©B×ö×ÔÓÉÂäÌ壬Ͻµ¸ß¶ÈΪlʱµÄËÙ¶ÈΪv£¬¸ù¾Ývt2-v2=2axµÃv=
´ËʱϸÉþ±»ÀÖ±£¬A¡¢BËٶȵĴóСÁ¢¼´±ä³Év1£¬ÉèÉþ×Ó¶ÔA¡¢BµÄ³åÁ¿´óСΪI£¬¸ù¾Ý¶¯Á¿¶¨ÀíµÃ¶ÔB£º-I=mv1-mv¶ÔA£ºI=2mv1½âµÃϸÉþµÚÒ»´Î±»Àֱ˲¼äÉþ¶ÔA³åÁ¿µÄ´óС
£¨2£©ÓÉ£¨1£©¿ÉµÃAµÚÒ»´ÎÀ뿪µØÃæÊ±ËٶȵĴóСv1=
´ÓAÀ뿪µØÃæµ½AÔٴλص½µØÃæµÄ¹ý³ÌÖУ¬A¡¢B×é³ÉµÄϵͳ»úеÄÜÊØºã£¬¼ÙÉèAµÚÒ»´ÎÉÏÉý¹ý³Ì¾àÀëµØÃæµÄ×î´ó¸ß¶ÈΪx1£¬Ôò
£¨3£©´ÓAÀ뿪µØÃæµ½AÔٴλص½µØÃæµÄ¹ý³ÌÖУ¬A¡¢B×é³ÉµÄϵͳ»úеÄÜÊØºã£¬ËùÒÔ£¬AÔٴλص½µØÃæÊ±ËٶȵĴóСÒÀȻΪv1£¬¼´BÔٴλص½¾àÀëµØÃæ¸ß¶ÈΪlʱËٶȵĴóСҲΪv1£®´ËºóB×öÊúÖ±ÉÏÅ×Ô˶¯£¬Â仨¾àÀëµØÃæ¸ß¶ÈΪlʱËٶȵĴóС»¹ÊÇv1£®
¸ù¾Ý£¨1£©Çó½â¿ÉµÃAµÚ¶þ´ÎÀ뿪µØÃæÊ±ËٶȵĴóСv2=
ͬÀí¿ÉÇóAµÚ¶þ´ÎÀ뿪µØÃæÉÏÉýµÄ×î´ó¸ß¶ÈΪ
¡
AµÚn´ÎÀ뿪µØÃæÊ±ËٶȵĴóСvn=
ͬÀí¿ÉÇóAµÚn´ÎÀ뿪µØÃæÉÏÉýµÄ×î´ó¸ß¶ÈΪ
ÓÉÓÚAµÄÖÊÁ¿´óÓÚBµÄÖÊÁ¿£¬A×îÖջᾲֹÔÚµØÃæÉÏ£®
ËùÒÔAÔ˶¯µÄ×Ü·³Ìx=2£¨x1+x2+¡+xn+¡£©=
µãÆÀ£º¸ù¾ÝABÖ®¼äµÄµÚÒ»´ÎµÄÏ໥×÷Ó㬷ÖÎö×ܽáÖ®ºóµÄÿ´ÎÏ໥×÷ÓõĹæÂÉ£¬¸ù¾ÝABÏ໥×÷ÓõĹæÂÉÀ´½â´ð±¾Ì⣬ÕÒ³ö¹æÂÉÊǽâ¾ö±¾ÌâµÄ¹Ø¼ü£®
Á·Ï°²áϵÁдð°¸
Ïà¹ØÌâÄ¿
| A¡¢aµÄµçºÉÁ¿Ò»¶¨´óÓÚbµÄµçºÉÁ¿ | B¡¢bµÄÖÊÁ¿Ò»¶¨´óÓÚaµÄÖÊÁ¿ | C¡¢aµÄ±ÈºÉÒ»¶¨´óÓÚbµÄ±ÈºÉ | D¡¢bµÄ±ÈºÉÒ»¶¨´óÓÚaµÄ±ÈºÉ |