题目内容

如图所示,在竖直平面内有一个半径为R的圆弧轨道。半径OA水平、OB竖直,一个质量为m的小球自A正上方P点由静止开始自由下落,小球沿轨道到达最高点B时恰好对轨道没有压力,已知PA=2R,重力加速度为g,则小球

A.从B点飞出后恰能落到A点

B.从P到B的运动过程中机械能守恒

C.从P到B的运动过程中合外力做功mgR

D.从P到B的运动过程中克服摩擦力做功mgR

 

【答案】

C

【解析】

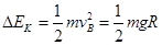
试题分析:由“小球沿轨道到达最高点B时恰好对轨道没有压力”可知在B点时小球速度为,小球从B点飞出后,则水平距离,A错;若整个过程机械能守恒,从P点释放,到B点的速度应该是,可见机械能减小,B错。从P到B的运动过程中,合外力做功等于物体动能的变化,即,C正确。克服摩擦力做功等于系统能量的减少量,D错。

考点:本题考查了圆周运动、平抛运动与能量守恒定律

 

练习册系列答案
相关题目

违法和不良信息举报电话:027-86699610 举报邮箱:58377363@163.com

精英家教网