题目内容

宇宙中两颗相距较近的天体称为“双星”,它们以二者连线上的某一点为圆心做匀速圆周运动,而不至因万有引力的作用吸引到一起.设二者的质量分别为,二者相距L.

(1)试求它们的轨道半径之比、线速度之比.

(2)试写出它们角速度的表达式.

答案:略
解析:

(1)见解析 (2)

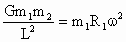
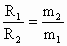
要保持两天体间距离L不变,两者圆周运动的角速度ω必须相同.两者轨迹圆心为O,圆半径分别为,如图所示.

(1)

所以

根据线速度v与角速度ω的关系v=Rω,有

所以

(2)由①式得

由②式得,且代入上式并化简,得


练习册系列答案
相关题目

违法和不良信息举报电话:027-86699610 举报邮箱:58377363@163.com

精英家教网