ÌâÄ¿ÄÚÈÝ

Ò»¸öÖÊÁ¿m=0.1kgµÄÕý·½ÐνðÊô¿ò×ܵç×èR=0.5¦¸£¬½ðÊô¿ò·ÅÔÚ±íÃæ¾øÔµÇҹ⻬µÄÐ±Ãæ¶¥¶Ë£¨½ðÊô¿òÉϱßÓëAA¡äÖØºÏ£©£¬×Ô¾²Ö¹¿ªÊ¼ÑØÐ±ÃæÏ»¬£¬Ï»¬¹ý³ÌÖд©¹ýÒ»
¶Î±ß½çÓëÐ±Ãæµ×±ßBB¡äƽÐС¢¿í¶ÈΪdµÄÔÈÇ¿´Å³¡ºó»¬ÖÁÐ±Ãæµ×¶Ë£¨½ðÊô¿òϱßÓëBB¡äÖØºÏ£©£¬Éè½ðÊô¿òÔÚÏ»¬¹ý³ÌÖеÄËÙ¶ÈΪv£¬Óë´Ë¶ÔÓ¦µÄÎ»ÒÆÎªs£¬ÄÇôv2¡ªsͼÏóÈçͼËùʾ£¬ÒÑÖªÔÈÇ¿´Å³¡·½Ïò´¹Ö±Ð±ÃæÏòÉÏ.ÊÔÎÊ£º

£¨1£©¸ù¾Ýv2¡ªsͼÏóËùÌṩµÄÐÅÏ¢£¬¼ÆËã³öÐ±ÃæÇã½Ç¦ÈºÍÔÈÇ¿´Å³¡¿í¶Èd.
£¨2£©ÔÈÇ¿´Å³¡µÄ´Å¸ÐÇ¿¶È¶à´ó£¿½ðÊô¿ò´ÓÐ±Ãæ¶¥¶Ë»¬ÖÁµ×¶ËËùÐèµÄʱ¼äΪ¶àÉÙ£¿
£¨3£©ÏÖÓÃÆ½ÐÐÐ±ÃæÑØÐ±ÃæÏòÉϵĺãÁ¦F×÷ÓÃÔÚ½ðÊô¿òÉÏ£¬Ê¹½ðÊô¿ò´ÓÐ±Ãæµ×¶ËBB¡ä£¨½ðÊô¿òϱßÓëBB¡äÖØºÏ£©Óɾ²Ö¹¿ªÊ¼ÑØÐ±ÃæÏòÉÏÔ˶¯£¬ÔÈËÙͨ¹ý´Å³¡ÇøÓòºóµ½´ïÐ±Ãæ¶¥¶Ë£¨½ðÊô¿òÉϱßÓëAA¡äÖØºÏ£©.ÊÔ¼ÆËãºãÁ¦F×ö¹¦µÄ×îСֵ.


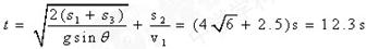
¢Å  s£½0µ½s£½16 mÓɹ«Ê½v2£½2as£¬¡à¸Ã¶ÎͼÏßбÂʾÍÊÇÏß¿òµÄ¼ÓËÙ¶È¡£   
¡à     a£½0.5 m/s2                 
¸ù¾ÝÅ£¶ÙµÚ¶þ¶¨ÂÉ mgsin¦È£½ma         
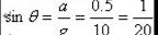
¦È="arcsin0.05 "

ÓÉͼÏó¿ÉÒÔ¿´³ö£¬´ÓÏß¿òϱ߽ø´Å³¡µ½Éϱ߳ö´Å³¡£¬Ïß¿ò¾ù×öÔÈËÙÔ˶¯¡£
¡à ¦¤s="2L=2d=26-16=10m,   " d="L=5m "
¢ÆÏß¿ò

ͨ¹ý´Å³¡Ê±£¬
ÓÉv2-sͼ¿ÉÖª£¬s1="16" m   v0="0  " a1="gsin¦È      " ÔȼÓËÙÔ˶¯
s2="10" m   v1="4" m/s   ÔÈËÙÔ˶¯   s3="8" m ³õËÙv1="4" m/s   a3="gsin¦È  "
ÔȼÓËÙÔ˶¯
Òò´Ë£¬½ðÊô¿ò´ÓÐ±Ãæ¶¥¶Ë»¬ÖÁµ×¶ËËùÓõÄʱ¼äΪ
¢Ç 

½øÈë´Å³¡Ç°  F£­mgsin¦È£½ma4   Ôڴų¡ÖÐÔ˶¯  F£½mgsin¦È£«F°²£¬
ÓÉÉÏʽµÃ      F°²£½ma4 

ËùÒÔ£¬ a="0.25" m/s2             
F°²="ma4=0.1¡Á0.25" N="0.025" N
¡à ×îС¹¦WF=F°²¡Á2d+mg(s1+s2+s3)sin¦È ="1.95" J

½âÎö

Á·Ï°²áϵÁдð°¸
Ïà¹ØÌâÄ¿
¾«Ó¢¼Ò½ÌÍøÈçͼËùʾ£¬A¡¢BÊÇÁ½¿éÊúÖ±·ÅÖÃµÄÆ½ÐнðÊô°å£¬Ïà¾àΪ2L£¬·Ö±ð´øÓеÈÁ¿µÄÕý¡¢¸ºµçºÉ£¬ÔÚÁ½°å¼äÐε糡ǿ¶È´óСΪEÔÈÇ¿µç³¡£®A°åÉÏÓÐһС¿×£¨ËüµÄ´æÔÚ¶ÔÁ½°å¼äÔÈÇ¿µç³¡·Ö²¼µÄÓ°Ïì¿ÉºöÂÔ²»¼Æ£©£¬¿×ÖÐÓÐÒ»ÌõÓë°å´¹Ö±µÄˮƽ¹â»¬¾øÔµ¹ìµÀ£¬Ò»¸öÖÊÁ¿Îªm£¬µçºÉÁ¿Îªq£¨q£¾0£©µÄСÇò£¨¿ÉÊÓΪÖʵ㣩£¬ÔÚÍâÁ¦×÷ÓÃϾ²Ö¹ÔÚ¹ìµÀµÄÖеãP´¦£®Ò»×ÔÈ»³¤¶ÈΪLµÄÇᵯ»É×ó¶Ë¹Ì¶¨ÔÚ¾àA°å×ó²àL´¦µ²°åÉÏ£¬ÓҶ˹̶¨Ò»¿éÇáСµÄ¾øÔµ²ÄÁÏÖÆ³ÉµÄ±¡°åQ£®³·È¥ÍâÁ¦ÊÍ·Å´øµçСÇò£¬Ëü½«Ôڵ糡Á¦×÷ÓÃÏÂÓɾ²Ö¹¿ªÊ¼Ïò×óÔ˶¯£¬´©¹ýС¿×ºó£¨²»Óë½ðÊô°åA½Ó´¥£©Ó뱡°åQÒ»ÆðѹËõµ¯»É£¬ÓÉÓÚ±¡°åQ¼°µ¯»ÉµÄÖÊÁ¿¶¼¿ÉÒÔºöÂÔ²»¼Æ£¬¿ÉÈÏΪСÇòÓëQ½Ó´¥¹ý³ÌÖв»Ëðʧ»úеÄÜ£®Ð¡Çò´Ó½Ó´¥Q¿ªÊ¼£¬¾­¹ýÒ»¶Îʱ¼äµÚÒ»´Î°Ñµ¯»ÉѹËõÖÁ×î¶Ì£¬È»ºóÓÖ±»µ¯»Éµ¯»Ø£®ÓÉÓÚ±¡°åQµÄ¾øÔµÐÔÄÜÓÐËùǷȱ£¬Ê¹µÃСÇòÿ´ÎÀ뿪Q˲¼ä£¬Ð¡ÇòµÄµçºÉÁ¿¶¼Ëðʧһ²¿·Ö£¬¶ø±ä³É¸ÕÓëQ½Ó´¥Ê±Ð¡ÇòµçºÉÁ¿µÄ
1
k
£¨k£¾l£©£®Çó£º
£¨1£©µ¯»ÉµÚÒ»´ÎѹËõµ½×î×ó±ßʱµÄµ¯ÐÔÊÆÄÜ£»
£¨2£©Ð¡ÇòÔÚÓëB°åÏàÅö֮ǰ£¬×î¶àÄÜÓ뱡°åQÅöײ¶àÉٴΣ»
£¨3£©ÉèA°åµÄµçÊÆÎªÁ㣬µ±k=2£¬ÇÒС¿×ÓÒ²àµÄ¹ìµÀ´Ö²ÚÓë´øµçСÇò¼äµÄ»¬¶¯Ä¦²ÁÁ¦Ff=
qE
4
ʱ£¬Çó´øµçСÇò³õ¡¢Ä©×´Ì¬µÄµçÊÆÄܱ仯Á¿£®
±¾Ìâ¹²18·Ö£¬ÆäÖУ¨1£©ÎÊ8·Ö£¬£¨2£©ÎÊ10·Ö
£¨1£©Ä³Í¬Ñ§ÀûÓÃÈçͼͼ¼×ËùʾµÄʵÑé×°ÖÃÑéÖ¤»úеÄÜÊØºã¶¨ÂÉ£¬ÆäʵÑéµÄ²¿·ÖÔ­ÀíÊÇÀûÓÃÆ½Å×Ô˶¯µÄ֪ʶ£®ÄÇô£º
¢ÙʵÑéÖбØÐëÒªÇóµÄÌõ¼þÊÇ
 
£®
A£®»¡ÐÎб²Û±ØÐ뾡¿ÉÄܵĹ⻬
B£®»¡ÐÎб²ÛÄ©¶ËµÄÇÐÏß±ØÐëˮƽ
C£®±ØÐë²âÁ¿³öСÇòµÄÖÊÁ¿m£¬
D£®Ð¡Çòÿ´Î±ØÐë´Óͬһ¸ß¶È´¦¹öÏÂ
¾«Ó¢¼Ò½ÌÍø
¢ÚʵÑéÖвâµÃ»¡ÐÎб²ÛÄ©¶ËÀëµØÃæµÄ¸ß¶ÈΪH£¬½«¸ÖÇò´Óб²ÛµÄ²»Í¬¸ß¶Èh´¦¾²Ö¹ÊÍ·Å£¬¸ÖÇòµÄÂäµã¾à»¡ÐÎб²ÛÄ©¶ËµÄˮƽ¾àÀëΪs£®Ôòµ±s2ÓëH¡¢hµÄÀíÂÛ¹ØÏµÂú×ãs2=
 
ʱ£¬Ð¡ÇòµÄ»úеÄÜÊØºã£®
¢ÛʵÑéÖУ¬¸Ãͬѧ·¢ÏÖʵÑé½á¹û²»Âú×ãÀíÂÛ¼ÆËãµÃµ½µÄs2-h¹ØÏµ£¬¸ÃͬѧÈÏΪ³öÏÖÕâÒ»½á¹ûµÄÔ­Òò³ýÁËĦ²ÁºÍ¿ÕÆø×èÁ¦µÈÍ⣬»¹ÓÐÒ»¸öÔ­Òò¿ÉÄÜÊÇСÇòµÄ´óС£¬Òò´ËÓÖÓÃÓα꿨³ß²âÁËСÇòµÄÖ±¾¶£¬Æä½á¹ûÈçͼͼÒÒËùʾ£®¹ØÓÚ¸ÃͬѧÈÏΪ¡°Ð¡ÇòµÄ´óС¡±¶Ô½á¹ûÓÐÓ°ÏìµÄ·ÖÎö£¬ÄãÈÏΪÕýÈ·Âð£¿
 
£®£¨²»Ðè˵Ã÷ÀíÓÉ£©£¬Ð¡ÇòµÄÖ±¾¶Îª
 
mm£®
£¨2£©£¨10·Ö£©Ä³Í¬Ñ§ÎªÁ˲âÁ¿Ò»¸öÔÚ²»Í¬µçѹϹ¤×÷ʱµÄµçÈÈÆ÷RxµÄ×èÖµ£¬ÒÑÖªµçÈÈÆ÷µÄ¶î¶¨µçѹΪ12V£®ÔÚʵÑé½áÊøºó£¬¸Ãͬѧ¼Ç¼µÄ²âÁ¿Êý¾ÝÈçÏ£º
U/V 0 1.0 2.2 3.0 5.0 8.0 10.0 12.0
I/A 0 0.08 0.15 0.20 0.30 0.40 0.45 0.50
Çë¸ù¾ÝÉÏÊöÐÅÏ¢Íê³ÉÏÂÁÐÎÊÌ⣺
¢Ù£¨2·Ö£©³ýµçÈÈÆ÷Í⣬ʵÑéÊÒÀﻹ¸ø¸ÃͬѧÌṩÁËÈçÏÂÆ÷²Ä¹©Ñ¡Ôñ£º
A£®µçÁ÷±í£¨0¡«3A£¬0.1¦¸£©
B£®µçÁ÷±í£¨0¡«0.6A£¬10¦¸£©
C£®µçѹ±í£¨0¡«3V£¬1k¦¸£©         D£®µçѹ±í£¨0¡«1 5V£¬30k¦¸£©
E£®»¬¶¯±ä×èÆ÷£¨0¡«10¦¸£¬0.3A£©    F£®»¬¶¯±ä×èÆ÷£¨0¡«l0¦¸£¬2A£©
G£®Êä³öµçѹΪl6VµÄѧÉúµçÔ´£¬H£®µ¼Ïß¡¢¿ª¹Ø£®ÄÇô¸ÃͬѧѡÔñʹÓÃµÄÆ÷²ÄÊÇ£º
 
£®£¨ÌîÐòºÅ£©
¢Ú£¨4·Ö£©ÔÚÐéÏß¿òÄÚ»­³öʵÑéµç·ͼ£®
¢Û£¨4·Ö£©ÔÚͼͼ±ûÖеÄ×ø±êÖ½ÉÏ×÷³öU-IͼÏó£®²¢¸ù¾ÝͼÏó˵Ã÷µçÈÈÆ÷µÄµç×è´óÐ¡Ëæµçѹ±ä»¯µÄ¹ØÏµ
 
£®
ÈçͼËùʾ£¬A¡¢BÊÇÁ½¿éÊúÖ±·ÅÖÃµÄÆ½ÐнðÊô°å£¬Ïà¾àΪ2l£¬·Ö±ð´øÓеÈÁ¿µÄ¸º¡¢ÕýµçºÉ£¬ÔÚÁ½°å¼äÐγɵ糡ǿ¶È´óСΪEµÄÔÈÇ¿µç³¡£®A°åÉÏÓÐһС¿×£¨ËüµÄ´æÔÚ¶ÔÁ½°å¼äÔÈÇ¿µç³¡·Ö²¼µÄÓ°Ïì¿ÉºöÂÔ²»¼Æ£©£¬¿×µÄÏÂÑØÓÒ²àÓÐÒ»ÌõÓë°å´¹Ö±µÄˮƽ¹â»¬¾øÔµ¹ìµÀ£¬Ò»¸öÖÊÁ¿Îªm¡¢µçºÉÁ¿Îªq£¨q£¾0£©µÄСÇò£¨¿ÉÊÓΪÖʵ㣩£¬ÔÚÍâÁ¦×÷ÓÃϾ²Ö¹ÔÚ¹ìµÀµÄÖеãP´¦£®¿×µÄÏÂÑØ×ó²àÒ²ÓÐÒ»Óë°å´¹Ö±µÄˮƽ¹â»¬¾øÔµ¹ìµÀ£¬¹ìµÀÉϾàA°ål´¦ÓÐÒ»¹Ì¶¨µµ°å£¬³¤ÎªlµÄÇᵯ»É×ó¶Ë¹Ì¶¨ÔÚµ²°åÉÏ£¬ÓҶ˹̶¨Ò»¿éÇáСµÄ¾øÔµ²ÄÁÏÖÆ³ÉµÄ±¡°åQ£®³·È¥ÍâÁ¦ÊÍ·Å´øµçСÇò£¬Ëü½«Ôڵ糡Á¦×÷ÓÃÏÂÓɾ²Ö¹¿ªÊ¼Ïò×óÔ˶¯£¬´©¹ýС¿×£¨²»Óë½ðÊô°åA½Ó´¥£©ºóÓ뱡°åQÒ»ÆðѹËõµ¯»É£¬ÓÉÓÚ±¡°åQ¼°µ¯»ÉµÄÖÊÁ¿¶¼¿ÉÒÔºöÂÔ²»¼Æ£¬¿ÉÈÏΪСÇòÓëQ½Ó´¥¹ý³ÌÖв»Ëðʧ»úеÄÜ£®Ð¡Çò´Ó½Ó´¥Q¿ªÊ¼£¬¾­Àúʱ¼äT0µÚÒ»´Î°Ñµ¯»ÉѹËõÖÁ×î¶Ì£¬È»ºóÓÖ±»µ¯»Éµ¯»Ø£®ÓÉÓÚ±¡°åQµÄ¾øÔµÐÔÄÜÓÐËùǷȱ£¬Ê¹µÃСÇòÿ´ÎÀ뿪µ¯»ÉµÄ˲¼ä£¬Ð¡ÇòµÄµçºÉÁ¿¶¼Ëðʧһ²¿·Ö£¬¶ø±ä³É¸ÕÓ뵯»É½Ó´¥Ê±Ð¡ÇòµçºÉÁ¿µÄ
1k
£¨k£¾1£©£®
£¨1£©Ð¡ÇòµÚÒ»´Î½Ó´¥±¡°åQºó£¬Ôòµ¯»ÉµÄµ¯ÐÔÊÆÄܶà´ó£»
£¨2£©¼ÙÉèСÇò±»µÚN´Îµ¯»ØÁ½°å¼äºóÏòÓÒÔ˶¯µÄ×îÔ¶´¦Ç¡ºÃµ½´ïB°å£¬Ð¡Çò´Ó¿ªÊ¼Ô˶¯µ½±»µÚN´Îµ¯»ØÁ½°å¼äÏòÓÒÔ˶¯µ½´ïB°åµÄ×Üʱ¼ä£®
£¨2008?¶«³ÇÇøÈýÄ££©£¨1£©ÔÚ¡°ÑéÖ¤»úеÄÜÊØºã¶¨ÂÉ¡±µÄʵÑéÖУ¬´òµã¼ÆÊ±Æ÷½ÓÔÚµçѹΪE£¬ÆµÂÊΪf£¬µÄ½»Á÷µçÔ´ÉÏ£¬ÔÚʵÑéÖдòÏÂÒ»ÌõÀíÏëÖ½´ø£¬Èçͼ1Ëùʾ£¬Ñ¡È¡Ö½´øÉÏ´ò³öµÄÁ¬Ðø5¸öµãA¡¢B¡¢C¡¢D¡¢E£¬²â³öAµã¾àÆðʼµãµÄ¾àÀëΪs0£¬µãAC¼äµÄ¾àÀëΪs1£¬µãCE¼äµÄ¾àÀëΪs2£¬ÒÑÖªÖØ´¸µÄÖÊÁ¿Îªm£¬µ±µØµÄÖØÁ¦¼ÓËÙ¶ÈΪg£¬Ôò£º

¢Ù´ÓÆðʼµãOµ½´òÏÂCµãµÄ¹ý³ÌÖУ¬ÖØ´¸ÖØÁ¦ÊÆÄܵļõÉÙÁ¿Îª¡÷EP=
mg£¨S0+S1£©
mg£¨S0+S1£©
£¬ÖØ´¸¶¯ÄܵÄÔö¼ÓÁ¿Îª¡÷EK
m(s1+s2)2f2
32
m(s1+s2)2f2
32
£®
¢Ú¸ù¾ÝÌâÖÐÌṩµÄÌõ¼þ£¬¿ÉÇó³öÖØ´¸Êµ¼ÊÏÂÂäµÄ¼ÓËÙ¶Èa=
(s2-s1)f2
4
(s2-s1)f2
4
£¬ËüºÍµ±µØµÄÖØÁ¦¼ÓËÙ¶Èg½øÐбȽϣ¬Ôòa
СÓÚ
СÓÚ
g£¨Ìî´óÓÚ£¬µÈÓÚ£¬Ð¡ÓÚ£©£®
£¨2£©Èçͼ2¸ø³öÆ÷²ÄΪ£ºµçÔ´E£¨µç¶¯ÊÆÎª12V£¬ÄÚ×è²»¼Æ£©£¬Ä¾°åN£¨°åÉÏ´ÓÏÂÍùÉÏÒÀ´Îµþ·Å°×Ö½¡¢¸´Ð´Ö½¡¢µ¼µçÖ½¸÷Ò»ÕÅ£©£¬Á½¸ö½ðÊôÌõA¡¢B£¨Æ½ÐзÅÖÃÔÚµ¼µçÖ½ÉÏ£¬Óëµ¼µçÖ½½Ó´¥Á¼ºÃ£¬ÓÃ×÷µç¼«£©£¬»¬Ïß±ä×èÆ÷R£¨Æä×Ü×èֵСÓÚÁ½Æ½Ðе缫¼äµ¼µçÖ½µÄµç×裩£¬Ö±Á÷µçѹ±í£¨Á¿³ÌΪ6V£¬ÄÚ×èºÜ´ó£¬Æä¸º½ÓÏßÖùÓëB¼«ÏàÁ¬£¬Õý½ÓÏßÖùÓë̽ÕëPÏàÁ¬£©£¬¿ª¹ØK£®ÏÖÒªÓÃͼÖÐÒÇÆ÷Ãè»æÁ½Æ½ÐнðÊôÌõAB¼äµç³¡ÖеĵÈÊÆÏߣ®AB¼äµÄµçѹҪÇóȡΪ6V£®
£¨¢ñ£©ÔÚͼ2ÖÐÁ¬Ïߣ¬»­³ÉʵÑéµç·ԭÀíͼ£®
£¨¢ò£©ÏÂÃæÊÇÖ÷ÒªµÄʵÑé²Ù×÷²½Ö裬½«ËùȱµÄÄÚÈÝÌîдÔÚºáÏßÉÏ·½£®
a£®½ÓºÃʵÑéµç·£®
b£®
°Ñ±ä×èÆ÷µÄ»¬¶¯´¥Í·ÒƵ½¿¿½üD¶Ë´¦
°Ñ±ä×èÆ÷µÄ»¬¶¯´¥Í·ÒƵ½¿¿½üD¶Ë´¦
£®
c£®ºÏÉÏK£¬²¢½«Ì½ÕëPÓëAÏà½Ó´¥£®
d£®
µ÷½ÚR£¬Ê¹µçѹ±í¶ÁÊýΪ6V
µ÷½ÚR£¬Ê¹µçѹ±í¶ÁÊýΪ6V
£®
e£®ÓÃ̽ÕëѹӡµÄ·½·¨°ÑA¡¢BµÄλÖñê¼ÇÔÚ°×Ö½ÉÏ£®»­Ò»Ïß¶ÎÁ¬½ÓABÁ½¼«£¬ÔÚÁ¬ÏßÉÏѡȡ¼ä¾à´óÖÂÏàµÈµÄ5¸öµã×÷Ϊ»ù×¼µã£¬ÓÃ̽Õë°ÑËüÃǵÄλÖÃÓ¡ÔÚ°×Ö½ÉÏ£®
f£®½«Ì½ÕëÓëijһ»ù×¼µãÏà½Ó´¥£¬
¼Çϵçѹ±í¶ÁÊý£¬ÔÚµ¼µçÖ½ÉÏÒÆ¶¯Ì½Õ룬ÕÒ³öµçѹ±í¶ÁÊýÓëËù¼ÇϵÄÊýÖµÏàͬµÄÁíÒ»µã
¼Çϵçѹ±í¶ÁÊý£¬ÔÚµ¼µçÖ½ÉÏÒÆ¶¯Ì½Õ룬ÕÒ³öµçѹ±í¶ÁÊýÓëËù¼ÇϵÄÊýÖµÏàͬµÄÁíÒ»µã
£¬ÕâÒ»µãÊÇ´Ë»ù×¼µÄµÈÊÆµã£®ÓÃ̽Õë°ÑÕâÒ»µãµÄλÖÃҲѹӡÔÚ°×Ö½ÉÏ£®ÓÃÏàͬµÄ·½·¨ÕÒ³ö´Ë»ù×¼µãµÄÆäËüµÈÊÆµã£®
g£®Öظ´²½Öèf£¬ÕÒ³öÆäËü4¸ö»ù×¼µãµÄµÈÊÆµã£®È¡³ö°×Ö½»­³ö¸÷ÌõµÈÊÆÏߣ®
£¨3£©Èçͼ3ÊǶàÓñíµÄ¿Ì¶ÈÅÌ£¬µ±Ñ¡ÓÃÁ¿³ÌΪ50mAµÄµçÁ÷µµ²âÁ¿µçÁ÷ʱ£¬±íÕëÖ¸ÓÚͼʾλÖã¬ÔòËù²âµçÁ÷Ϊ
30.7
30.7
mA£»ÈôÑ¡Óñ¶ÂÊΪ¡°¡Á100¡±µÄµç×èµµ²âµç×èʱ£¬±íÕëҲָʾÔÚͼʾͬһλÖã¬ÔòËù²âµç×èµÄ×èֵΪ
1.5¡Á103
1.5¡Á103
¦¸£®Èç¹ûÒªÓô˶àÓñí²âÁ¿Ò»¸öÔ¼2.0¡Á104¦¸µÄµç×裬ΪÁËʹ²âÁ¿±È½Ï¾«È·£¬Ó¦Ñ¡µÄÅ·Ä·µµÊÇ
¡Á1K
¡Á1K
£¨Ñ¡Ìî¡°¡Á10¡±¡¢¡°¡Á100¡±»ò¡°¡Á1K¡±£©£®»»µµ½áÊøºó£¬ÊµÑé²Ù×÷ÉÏÊ×ÏÈÒª½øÐеIJ½ÖèÊÇ
Å·Ä·µ÷Á㣮
Å·Ä·µ÷Á㣮
£®
£¨2013?¹ãÖÝÈýÄ££©£¨1£©Ä³Ì½¾¿Ñ§Ï°Ð¡×éµÄͬѧÊÔͼÒÔͼÖеϬ¿éΪ¶ÔÏóÑéÖ¤¡°¶¯Äܶ¨Àí¡±£¬ËûÃÇÔÚʵÑéÊÒ×é×°ÁËÈçͼ¼×ËùʾµÄÒ»Ì××°Öã¬ÁíÍâËûÃÇ»¹ÕÒµ½ÁË´òµã¼ÆÊ±Æ÷ËùÓõÄѧÉúµçÔ´¡¢µ¼Ïß¡¢¸´Ð´Ö½¡¢Ð¡Ä¾¿é¡¢Ï¸É³£®µ±Á¬ÉÏÖ½´ø£¬ÊÍ·ÅɳͰʱ£¬»¬¿é´¦ÓÚ¾²Ö¹£®ÒªÍê³É¸ÃʵÑ飬ÄãÈÏΪ£º
¢Ù»¹ÐèÒªµÄʵÑéÆ÷²ÄÓÐ
ÌìÆ½¡¢¿Ì¶È³ß
ÌìÆ½¡¢¿Ì¶È³ß
£®
¢ÚʵÑéʱÊ×ÏÈÒª×öµÄ²½ÖèÊÇ
ƽºâĦ²ÁÁ¦
ƽºâĦ²ÁÁ¦
£¬ÎªÁ˱£Ö¤»¬¿éÊܵ½µÄºÏÁ¦ÓëɳºÍɳͰµÄ×ÜÖØÁ¦´óС»ù±¾ÏàµÈ£¬É³ºÍɳͰµÄ×ÜÖÊÁ¿Ó¦Âú×ãµÄÌõ¼þÊÇ
ɳºÍɳͰµÄ×ÜÖÊÁ¿Ô¶Ð¡ÓÚ»¬¿éµÄÖÊÁ¿
ɳºÍɳͰµÄ×ÜÖÊÁ¿Ô¶Ð¡ÓÚ»¬¿éµÄÖÊÁ¿
£®
¢ÛÔÚÉÏÊöµÄ»ù´¡ÉÏ£¬Ä³Í¬Ñ§²âµÃ»¬¿éµÄÖÊÁ¿M£®ÍùɳͰÖÐ×°ÈëÊÊÁ¿µÄϸɳ£¬²âµÃ´ËʱɳºÍɳͰµÄ×ÜÖÊÁ¿m£®½ÓͨµçÔ´£¬ÊÍ·ÅɳͰ£¬ÔÚ´òµã¼ÆÊ±Æ÷´ò³öµÄÖ½´øÉÏÈ¡Á½µã£¬²â³öÕâÁ½µãµÄ¼ä¾àLºÍÕâÁ½µãµÄËÙ¶È´óСv1Óëv2£¨v1£¼v2£©£®Ôò¶Ô»¬¿é£¬±¾ÊµÑé×îÖÕÒªÑéÖ¤Êýѧ±í´ïʽΪ
mgL=
1
2
M
v
2
2
-
1
2
M
v
2
1
mgL=
1
2
M
v
2
2
-
1
2
M
v
2
1
£¨ÓÃÌâÖеÄ×Öĸ±íʾ£©£®
£¨2£©ÔÚ¡°Ãè»æÐ¡µÆÅݵķü°²ÌØÐÔÇúÏß¡±ÊµÑéÖУ¬Òª²âÁ¿Ò»¸ö±êÓС°3V 1.5W¡±µÄµÆÅÝÁ½¶ËµÄµçѹºÍͨ¹ýËüµÄµçÁ÷£¬ÏÖÓÐÈçÏÂÆ÷²Ä£º
A£®Ö±Á÷µçÔ´3V£¨ÄÚ×è¿É²»¼Æ£©
B£®Ö±Á÷µç±í0¡«3A£¨ÄÚ×è0.1¦¸£©
C£®Ö±Á÷µç±í0¡«600mA£¨ÄÚ×èÔ¼0.5¦¸£©
D£®Ö±Á÷µçѹ±í0¡«3V£¨ÄÚ×èÔ¼3k¦¸£©
E£®Ö±Á÷µçѹ±í0¡«15V£¨ÄÚ×èÔ¼200k¦¸£©
F£®»¬Ïß±ä×èÆ÷£¨10¦¸£¬1A£©
G£®»¬Ïß±ä×èÆ÷£¨1k¦¸£¬300mA£©
¢Ù³ý¿ª¹Ø¡¢µ¼ÏßÍ⣬ΪÍê³ÉʵÑ飬ÐèÒª´ÓÉÏÊöÆ÷²ÄÖÐÑ¡ÓÃ
ACDF
ACDF
£¨ÓÃ×Öĸ´úºÅ£©
¢ÚijͬѧÓõ¼Ïßa¡¢b¡¢c¡¢d¡¢e¡¢f¡¢gºÍhÁ¬½ÓµÄµç·ÈçͼÒÒËùʾ£¬µç·ÖÐËùÓÐÔªÆ÷¼þ¶¼ÊÇÍêºÃµÄ£¬ÇÒµçѹ±íµÄµçÁ÷±íÒѵ÷Á㣮±ÕºÏ¿ª¹Øºó·¢ÏÖµçѹ±íµÄʾÊýΪ2V£¬µçÁ÷±íµÄʾÊýΪÁ㣬СµÆÅݲ»ÁÁ£¬Ôò¿ÉÅж϶Ï·µÄµçÏßÊÇ
d
d
£»Èôµçѹ±íʾÊýΪÁ㣬µçÁ÷±íµÄʾÊýΪ0.3A£¬Ð¡µÆÅÝÁÁ£¬Ôò¶Ï·µÄµ¼ÏßÊÇ
h
h
£»Èô·´¸´µ÷½Ú»¬¶¯±ä×èÆ÷£¬Ð¡µÆÅÝÁÁ¶È·¢Éú±ä»¯£¬µ«µçѹ±í¡¢µçÁ÷±íʾÊý²»Äܵ÷ΪÁ㣬Ôò¶Ï·µÄµ¼ÏßÊÇ
g
g
£®
¢ÛϱíÖеĸ÷×éÊý¾Ý¸ÃͬѧÔÚʵÑéÖвâµÃµÄ£¬¸ù¾Ý±í¸ñÖеÄÊý¾ÝÔÚͼ±ûËùʾµÄ·½¸ñÖ½ÉÏ×÷³ö¸ÃµÆÅݵķü°²ÌØÐÔÇúÏߣ®
¢ÜÈô½«¸ÃµÆÅÝÓëÒ»¸ö10¦¸µÄ¶¨Öµµç×è´®Áª£¬Ö±½Ó½ÓÔÚÌâÖеçÔ´Á½¶Ë£¬Ôò¿ÉÒÔ¹ÀËã³ö¸ÃµÆÅݵÄʵ¼Ê¹¦ÂÊΪ
1.8W
1.8W
£¨½á¹û±£ÁôÁ½Î»ÓÐЧÊý×Ö£©

Î¥·¨ºÍ²»Á¼ÐÅÏ¢¾Ù±¨µç»°£º027-86699610 ¾Ù±¨ÓÊÏ䣺58377363@163.com

¾«Ó¢¼Ò½ÌÍø