题目内容

如图所示,P是水平面上的圆弧凹槽,从高台边B点以速度v0水平飞出的小球,恰能从固定在某位置的凹槽的圆弧轨道的左端A沿圆弧切线方向进入轨道。O是圆弧的圆心,θ1是OA与竖直方向的夹角,θ2是BA与竖直方向的夹角。则

A.=2      B.=2    

C.=2       D.=2

 

【答案】

B

【解析】

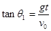
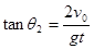
试题分析:设AB=L,由平抛运动的规律Lsinθ2=v0t,Lcosθ2=,解得。由几何关系知,小球落到A点时,速度与水平方向的夹角恰为θ1,则,联立上述两式得=2,选项B正确。

考点:平抛物体的运动规律。

 

练习册系列答案
相关题目

违法和不良信息举报电话:027-86699610 举报邮箱:58377363@163.com

精英家教网