题目内容

(10分)如图所示,一电子(质量为m,电量绝对值为e)处于电压为U的水平加速电场的左极板A内侧,在电场力作用下由静止开始运动,然后穿过极板B中间的小孔在距水平极板M、N等距处垂直进入板间的匀强偏转电场。若偏转电场的两极板间距为d,板长为l,求:

(1)电子刚进入偏转电场时的速度v0

(2)要使电子能从平行极板M、N间飞出,两个极板间所能加的最大偏转电压Umax′。

 

【答案】

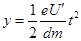
(1)  (2)

【解析】

试题分析:

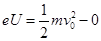
(1)在加速电场中,由动能定理有:

          ①

解①得:          ②

(2)电子在偏转电场中做类平抛运动,有:

平行极板方向:         ③

垂直极板方向:          ④

要飞出极板区:            ⑤

联解③④⑤式得:

            ⑥

评分参考意见:本题满分10分,其中①③④⑤式各2分,②⑥式各1分;若有其他合理解法且答案正确,可同样给分。

考点:带电粒子在电场中的偏转

 

练习册系列答案
相关题目

 选做题(请从A、B和C三小题中选定两小题作答,并在答题卡上把所选题目对应字母后的方框涂满涂黑.如都作答,则按A、B两小题评分.)

A.(选修模块3-3)(12分)

⑴下列说法中正确的是  ▲ 

A.液体表面层分子间距离大于液体内部分子间距离,液体表面存在张力

B.扩散运动就是布朗运动

C.蔗糖受潮后会粘在一起,没有确定的几何形状,它是非晶体

D.对任何一类与热现象有关的宏观自然过程进行方向的说明,都可以作为热力学第二定律的表述

⑵将1ml的纯油酸加到500ml的酒精中,待均匀溶解后,用滴管取1ml油酸酒精溶液,让其自然滴出,共200滴.现在让其中一滴落到盛水的浅盘内,待油膜充分展开后,测得油膜的面积为200cm2,则估算油酸分子的大小是  ▲  m(保留一位有效数字).

⑶如图所示,一直立的汽缸用一质量为m的活塞封闭一定量的理想气体,活塞横截面积为S,汽缸内壁光滑且缸壁是导热的,开始活塞被固定,打开固定螺栓K,活塞下落,经过足够长时间后,活塞停在B点,已知AB=h,大气压强为p0,重力加速度为g

①求活塞停在B点时缸内封闭气体的压强;

②设周围环境温度保持不变,求整个过程中通过缸壁传递的热量Q(一定量理想气体的内能仅由温度决定).

B.(选修3-4试题)

⑴(4分)下列说法正确的是  ▲  

A.泊松亮斑有力地支持了光的微粒说,杨氏干涉实验有力地支持了光的波动说。

B.从接收到的高频信号中还原出所携带的声音或图像信号的过程称为解调

C.当波源或者接受者相对于介质运动时,接受者往往会发现波的频率发生了变化,这种现象叫多普勒效应。

D.考虑相对论效应,一条沿自身长度方向运动的杆,其长度总比杆静止时的长度小

⑵如图所示,真空中有一顶角为75o,折射率为n =的三棱镜.欲使光线从棱镜的侧面AB进入,再直接从侧面AC射出,求入射角θ的取值范围为   ▲  

 

 

⑶(4分) 一列向右传播的简谐横波在某时刻的波形图如图所示。波速大小为0.6m/sP质点的横坐标x = 96cm。求:

①波源O点刚开始振动时的振动方向和波的周期;

②从图中状态为开始时刻,质点P第一次达到波峰时间。

C.(选修模块3-5)(12分)

⑴.氦原子被电离一个核外电子,形成类氢结构的氦离子。已知基态的氦离子能量为E1 =-54.4eV,氦离子能级的示意图如图所示。在具有下列能量的光子中,不能被基态氦离子吸收的是   ▲ 

A.60.3eV          B. 51.0 eV

C.43.2eV          D.54.4 eV

⑵一个静止的,放出一个速度为2.22×107m/s的粒子,同时产生一个新核,并释放出频率为ν=3×1019Hz的γ光子。写出这种核反应方程式   ▲   ;这个核反应中产生的新核的速度为  ▲  ;因γ辐射而引起的质量亏损为  ▲  。(已知普朗克常量h=6.63×10-34J·s)

⑶如图,滑块AB的质量分别为m1m2m1m2,置于光滑水平面上,由轻质弹簧相连接,用一轻绳把两滑块拉至最近,弹簧处于最大压缩状态后绑紧,接着使两滑块一起以恒定的速度v0向右滑动.运动中某时刻轻绳突然断开,当弹簧恢复到其自然长度时,滑块A的速度正好为零。则:

①弹簧第一次恢复到自然长度时,滑块B的速度大小为   ▲

②从轻绳断开到弹簧第一次恢复到自然长度的过程中,弹簧释放的弹性势能Ep =   ▲

 

 选做题(请从A、B和C三小题中选定两小题作答,并在答题卡上把所选题目对应字母后的方框涂满涂黑.如都作答,则按A、B两小题评分.)

A.(选修模块3-3)(12分)

⑴下列说法中正确的是  ▲ 

A.液体表面层分子间距离大于液体内部分子间距离,液体表面存在张力

B.扩散运动就是布朗运动

C.蔗糖受潮后会粘在一起,没有确定的几何形状,它是非晶体

D.对任何一类与热现象有关的宏观自然过程进行方向的说明,都可以作为热力学第二定律的表述

⑵将1ml的纯油酸加到500ml的酒精中,待均匀溶解后,用滴管取1ml油酸酒精溶液,让其自然滴出,共200滴.现在让其中一滴落到盛水的浅盘内,待油膜充分展开后,测得油膜的面积为200cm2,则估算油酸分子的大小是  ▲  m(保留一位有效数字).

⑶如图所示,一直立的汽缸用一质量为m的活塞封闭一定量的理想气体,活塞横截面积为S,汽缸内壁光滑且缸壁是导热的,开始活塞被固定,打开固定螺栓K,活塞下落,经过足够长时间后,活塞停在B点,已知AB=h,大气压强为p0,重力加速度为g

①求活塞停在B点时缸内封闭气体的压强;

②设周围环境温度保持不变,求整个过程中通过缸壁传递的热量Q(一定量理想气体的内能仅由温度决定).

B.(选修3-4试题)

⑴(4分)下列说法正确的是  ▲  

A.泊松亮斑有力地支持了光的微粒说,杨氏干涉实验有力地支持了光的波动说。

B.从接收到的高频信号中还原出所携带的声音或图像信号的过程称为解调

C.当波源或者接受者相对于介质运动时,接受者往往会发现波的频率发生了变化,这种现象叫多普勒效应。

D.考虑相对论效应,一条沿自身长度方向运动的杆,其长度总比杆静止时的长度小

⑵如图所示,真空中有一顶角为75o,折射率为n =的三棱镜.欲使光线从棱镜的侧面AB进入,再直接从侧面AC射出,求入射角θ的取值范围为   ▲  

 

 

⑶(4分) 一列向右传播的简谐横波在某时刻的波形图如图所示。波速大小为0.6m/sP质点的横坐标x = 96cm。求:

①波源O点刚开始振动时的振动方向和波的周期;

②从图中状态为开始时刻,质点P第一次达到波峰时间。

C.(选修模块3-5)(12分)

⑴.氦原子被电离一个核外电子,形成类氢结构的氦离子。已知基态的氦离子能量为E1 =-54.4 eV,氦离子能级的示意图如图所示。在具有下列能量的光子中,不能被基态氦离子吸收的是   ▲ 

A.60.3 eV          B. 51.0 eV

C.43.2 eV          D.54.4 eV

⑵一个静止的,放出一个速度为2.22×107m/s的粒子,同时产生一个新核,并释放出频率为ν=3×1019Hz的γ光子。写出这种核反应方程式    ▲   ;这个核反应中产生的新核的速度为  ▲  ;因γ辐射而引起的质量亏损为  ▲  。(已知普朗克常量h=6.63×10-34J·s)

⑶如图,滑块AB的质量分别为m1m2m1m2,置于光滑水平面上,由轻质弹簧相连接,用一轻绳把两滑块拉至最近,弹簧处于最大压缩状态后绑紧,接着使两滑块一起以恒定的速度v0向右滑动.运动中某时刻轻绳突然断开,当弹簧恢复到其自然长度时,滑块A的速度正好为零。则:

①弹簧第一次恢复到自然长度时,滑块B的速度大小为   ▲

②从轻绳断开到弹簧第一次恢复到自然长度的过程中,弹簧释放的弹性势能Ep =   ▲

 

【物理——选修3-5】(15分)

I.(5分)2010年7月,我国快中子反应堆(简称快堆)的研究实现重大突破,它的意义在于快堆能将此前不能被利用的、占天然铀资源99%的铀238()转变为可利用,从而极大的提高了铀资源的利用率.快堆的燃料是钚239(),它的半衰期为2.41万年.快堆的工作原理是:在反应堆堆心放置钚239,其外围再生区里放置铀238,铀238吸收堆心的钚239发生裂变时放出来的快中子后,生成铀239(),铀239经过β衰变生成镎239(),镎239再经过一次β衰变生成钚239.这样,钚239释放能量的同时,又不断地将铀238变成可用的钚239.因钚239再生速度高于其消耗速度,核燃料越烧越多,快速增殖,故这种反应堆又称“快速增殖堆”.根据上述信息可知,下列选项正确的有(   )

 A. 100个钚239原子核储存2.41万年,还能剩下50个

 B. 铀238变成钚239过程中,其中的一个核反应方程是:

 C. 镎239能发生β衰变,产生的β粒子(电子)是从它的原子核内发射出来的

 D. 快中子反应堆虽然释放能量,但没有质量亏损

II.(10分)如图所示,一辆质量kg的小车静止在光滑的水平  面上,小车上有一质量kg的光滑小球,将一轻质弹簧压缩并锁定,此时弹簧的弹性势能为J,小球脱离弹簧后与小车右壁的油灰阻挡层碰撞并被粘住,求:

(1)小球脱离弹簧时小球和小车各自的速度;

(2)整个过程中,小车移动的距离

违法和不良信息举报电话:027-86699610 举报邮箱:58377363@163.com

精英家教网