题目内容

王明同学为了研究小车在桌面上的运动,设计了如图甲的实验,图中长木板处于水平,砝码通过细线绕过定滑轮与小车相连接,细线的长度大于桌面的高度.

(1)如图甲所示,实验装置存在明显错误或不当的有________至少说出两条.

(2)改正错误后,已知电源的频率为50 Hz.实验中王明同学用手突然推动小车后,小车拖动纸带沿水平木板运动,砝码与地面接触之后,小车在木板上继续运动一段距离而停下.在小车运动起来后,打开电源开关,打点计时器在纸带上打下一系列的点.改变砝码的重量,重复几次实验,得到几条纸带,选出其中的一条纸带,如图乙、丙中给出了纸带上前后两段所记录的打点情况.量出两段纸带上12345各计数点到0的距离如下表所示,由这两条纸带提供的数据.试说明小车的运动情况.并描述出小车两段运动的性质.

________________

(3)若纸带上从第一个点到最后一个点的距离是49.2 cm,求纸带上这两个点之间应有多少个点?

答案:
解析:

  讲析:(1)拉小车的细线应平行桌面;实验电源应为交流电源;小车应靠近打点计时器且打点计时器应距左端较远.

  (2)由带上的计数点可知:小车在前一段时间内做匀速直线运动,从05计数点得速度为v1.2 m/s

  当砝码触地后做匀减速直线运动,加速度设为a,由ΔxaT2

  可得加速度为a3.0 m/s2

  设木块从第一个计数点到最后停下来,前一段做匀速直线运动的时间为t1,后一段做匀减速运动的时间为t2,总位移xvt1vt2at22,且vat2

  代入x49.2 cm,解得t20.40 st10.21 s

  从第一个计数点到最后停下来,打点计时器打的点数为n30.5

  纸上从第一个点到最后一个点间的点数为30个.

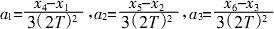
  引申:若后端纸带中,011223344556之间的间距分别用x1x2x3x4x5x6来表示,则有两种方法球加速度,

  方法一:,取平均值求a

  方法二:由,取平均值求a.哪种方法更好?请说明.

  讲析:方法一中只有x1x6数据起作用,而方法二中x1x2x3x4x5x6数据都起作用.所以选择方法B更合理,这样可以减少实验的偶然误差.


练习册系列答案
相关题目

违法和不良信息举报电话:027-86699610 举报邮箱:58377363@163.com

精英家教网