题目内容

如图所示,物体m放在光滑的水平面上,受到一水平恒力F的作用,运动的位移为s.设物体的初速度为零,试找出恒力F做的功与物体末速度之间的关系.

答案:略
解析:

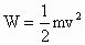
  物体运动时的加速为a,则.做匀变速运动的位移为,力F对物体所做的功为,联立以上三式可得

  在高考考试说明中“学习能力”也是考生必须具备的能力.本题是要求学生能够在学习动能定理之前来把握做功和物体速度变化的关系,从而深刻理解做功的含义.本题中,合外力对物体做正功,物体的速度增加,并且增加的速度与外力做功有的关系.式子的具体含义在第7节“动能和动能定理”中会有更准确的描述.


练习册系列答案
相关题目

违法和不良信息举报电话:027-86699610 举报邮箱:58377363@163.com

精英家教网