题目内容
真空中,A、B两点电荷电量均为Q,在它们分别相距为r和3r时,彼此间的库仑力大小之比为( )
A.3 : l B.1 : 3 C.9 : l D.l : 9
【答案】
C
【解析】
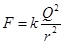
试题分析:相距为r时,它们之间的库仑力大小为
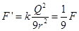
;当相距为3r时,它们之间的库仑力大小为
;故
,C正确;
考点:考查了库仑定律的简单应用
练习册系列答案
相关题目
| A、e点和g点的电场强度相同 | B、a点和f点的电势不相等 | C、电子从g点到f点再到e点过程中,电势能一直增加 | D、电子从f点到e点再到a点过程中,电场力先做功为零 |