题目内容

金星的半径是地球的0.95倍,质量为地球的0.82倍,金星表面的自由落体加速度是多大?金星的第一宇宙速度是多大?

答案:略
解析:

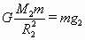
解析:(1)设金星质量为,半径为,金星表面自由落体加速度为,在金星表面:

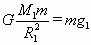
设地球质量为,半径为,地球表面自由落体加速度为

则在地球表面有:

由以上两式得:

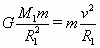
(2),得

点拨:求星球表面的重力加速度,利用重力与万有引力近似相等求解。

答案: 7.3 km/s


练习册系列答案
相关题目

违法和不良信息举报电话:027-86699610 举报邮箱:58377363@163.com

精英家教网