ÌâÄ¿ÄÚÈÝ
A£®Ð¡Çò¿ÉÄÜÂäÔÚÐ±ÃæÉϵÄcµãÓëdµãÖ®¼ä
B£®Ð¡ÇòÒ»¶¨ÂäÔÚÐ±ÃæÉϵÄeµã
C£®Ð¡ÇòÂäÔÚÐ±ÃæÊ±µÄËÙ¶È·½ÏòÓëÐ±Ãæ¼Ð½Ç´óÓÚ¦È
D£®Ð¡ÇòÂäÔÚÐ±ÃæÊ±µÄËÙ¶È·½ÏòÓëÐ±Ãæ¼Ð½ÇҲΪ¦È
¡¾´ð°¸¡¿·ÖÎö£º£¨1£©Ð¡ÇòÂäÔÚÐ±ÃæÉÏ£¬ÊúÖ±·½ÏòÉϵÄÎ»ÒÆÓëˮƽ·½ÏòÎ»ÒÆµÄ±ÈÖµÒ»¶¨£¬Ô˶¯µÄʱ¼äÓë³õËÙ¶ÈÓйأ¬¸ù¾ÝÊúÖ±·½ÏòÉϵÄÎ»ÒÆ¹«Ê½£¬¿ÉµÃ³öÊúÖ±Î»ÒÆÓë³õËٶȵĹØÏµ£¬´Ó¶øÖªµÀСÇòµÄÂäµã£®
£¨2£©¸ù¾ÝËÙ¶È·½ÏòÓëˮƽ·½ÏòµÄ¼Ð½Ç±ä»¯£¬È¥ÅжϦȵı仯£®
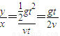
½â´ð£º½â£ºA¡¢Ð¡ÇòÂäÔÚÐ±ÃæÉÏ£¬ÊúÖ±·½ÏòÉϵÄÎ»ÒÆÓëˮƽ·½ÏòÎ»ÒÆµÄ±ÈÖµtan¦È=
£¬
½âµÃ£ºt=
£¬
ÔÚÊúÖ±·½ÏòÉϵÄÎ»ÒÆy=
=
µ±³õËٶȱäΪÔÀ´µÄ2±¶Ê±£¬ÊúÖ±·½ÏòÉϵÄÎ»ÒÆ±äΪÔÀ´µÄ4±¶£¬ËùÒÔСÇòÒ»¶¨ÂäÔÚÐ±ÃæÉϵÄeµã£¬¹ÊA´íÎó£¬BÕýÈ·£»
C¡¢ÉèСÇòÂäÔÚÐ±ÃæÉÏËÙ¶ÈÓëˮƽ·½ÏòµÄ¼Ð½ÇΪ¦Â£¬Ôòtan¦Â=
£¬ÓÖt=
£¬ËùÒÔËùÒÔtan¦Â=2tan¦È£¬¦È²»±ä£¬Ôò¦Â²»±ä£¬ËùÒÔËÙ¶È·½ÏòÓëÐ±ÃæµÄ¼Ð½ÇÒ²²»±ä£®¹ÊC´íÎó£¬DÕýÈ·£®
¹ÊÑ¡BD£®
µãÆÀ£ºÎïÌåÔÚÐ±ÃæÉÏ×öƽÅ×Ô˶¯ÂäÔÚÐ±ÃæÉÏ£¬ÊúÖ±·½ÏòµÄÎ»ÒÆÓëˮƽ·½ÏòÉϵÄÎ»ÒÆ±ÈÖµÊÇÒ»¶¨Öµ£®ÒÔ¼°ÖªµÀÔÚÈÎһʱ¿ÌËÙ¶ÈÓëˮƽ·½Ïò¼Ð½ÇµÄÕýÇÐÖµÊÇÎ»ÒÆÓëˮƽ·½Ïò¼Ð½ÇÕýÇÐÖµµÄ2±¶£®
£¨2£©¸ù¾ÝËÙ¶È·½ÏòÓëˮƽ·½ÏòµÄ¼Ð½Ç±ä»¯£¬È¥ÅжϦȵı仯£®
½â´ð£º½â£ºA¡¢Ð¡ÇòÂäÔÚÐ±ÃæÉÏ£¬ÊúÖ±·½ÏòÉϵÄÎ»ÒÆÓëˮƽ·½ÏòÎ»ÒÆµÄ±ÈÖµtan¦È=
½âµÃ£ºt=
ÔÚÊúÖ±·½ÏòÉϵÄÎ»ÒÆy=
µ±³õËٶȱäΪÔÀ´µÄ2±¶Ê±£¬ÊúÖ±·½ÏòÉϵÄÎ»ÒÆ±äΪÔÀ´µÄ4±¶£¬ËùÒÔСÇòÒ»¶¨ÂäÔÚÐ±ÃæÉϵÄeµã£¬¹ÊA´íÎó£¬BÕýÈ·£»
C¡¢ÉèСÇòÂäÔÚÐ±ÃæÉÏËÙ¶ÈÓëˮƽ·½ÏòµÄ¼Ð½ÇΪ¦Â£¬Ôòtan¦Â=
¹ÊÑ¡BD£®
µãÆÀ£ºÎïÌåÔÚÐ±ÃæÉÏ×öƽÅ×Ô˶¯ÂäÔÚÐ±ÃæÉÏ£¬ÊúÖ±·½ÏòµÄÎ»ÒÆÓëˮƽ·½ÏòÉϵÄÎ»ÒÆ±ÈÖµÊÇÒ»¶¨Öµ£®ÒÔ¼°ÖªµÀÔÚÈÎһʱ¿ÌËÙ¶ÈÓëˮƽ·½Ïò¼Ð½ÇµÄÕýÇÐÖµÊÇÎ»ÒÆÓëˮƽ·½Ïò¼Ð½ÇÕýÇÐÖµµÄ2±¶£®
Á·Ï°²áϵÁдð°¸
Ïà¹ØÌâÄ¿