题目内容
我们国家在1986年成功发射了一颗实用地球同步卫星,从1999年至今已几次将“神州”号宇宙飞船送入太空,已知“神州”号飞船绕地球转动周期约1.5h,则( )A.卫星运转周期比飞船大
B.卫星离地高度比飞船大
C.卫星运转加速度比飞船大
D.卫星运转速度比飞船大
【答案】分析:解决卫星运动规律的核心原理是万有引力提供向心力、开普勒第三定律,同步卫星的周期应作为常识记忆,先利用开普勒第三定律推出轨道半径关系,再利用万有引力提供向心力,推导各物理量与半径的关系,进而比较各物理量的大小.
解答:解:A.同步卫星的周期为24h,显然比飞船大,故A正确
B.由开普勒第三定律
,
,同步卫得周期较大,其轨道半径就大,离地面的高度也就大,故B正确
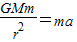
C.由牛顿第二定律
,得
,即
,同步卫星轨道半径较大,其加速度较小,故C错误
D.卫星作圆周运动时,万有引力提供向心力,即
,有
,即
,同步卫星轨道半径较大,所以其线速度较小,故D错误
故选:AB
点评:卫星运动规律定性分析时可记忆为“越近越快”,即卫星离地面越近,线速度、角速度、加速度越大,周期越小;若要定量计算,则应考虑原理为:万有引力提供向心力、开普勒第三定律.
解答:解:A.同步卫星的周期为24h,显然比飞船大,故A正确
B.由开普勒第三定律
C.由牛顿第二定律
D.卫星作圆周运动时,万有引力提供向心力,即
故选:AB
点评:卫星运动规律定性分析时可记忆为“越近越快”,即卫星离地面越近,线速度、角速度、加速度越大,周期越小;若要定量计算,则应考虑原理为:万有引力提供向心力、开普勒第三定律.
练习册系列答案
相关题目
我们国家在1986年成功发射了一颗实用地球同步卫星,从1999年至今已几次将”神州”号宇宙飞船送入太空,在某次实验中,飞船在空中飞行了36h,环绕地球24圈。则同步卫星与飞船在轨道上正常运转相比较( )
| A.卫星运转周期比飞船大 |
| B.卫星运转速度比飞船大 |
| C.卫星运加转速度比飞船大 |
| D.卫星离地高度比飞船大 |