题目内容

【题目】如图甲,质量 m=1kg 的物体静止在水平地面上,t=0 时刻开始,水平拉力 F1=9N 作用于物体上,t1 时刻水平拉力大小变为 F2、方向不变。物体的运动速度 v 随时间 t 变化关系图象如图乙所示,其 t1~ 3s 时间内图线与横轴围成的面积(图乙中阴影部分)是 0~ t1 时间内的 6倍。已知物块与地面之间的动摩擦因数μ=0.5,重力加速度 g=10m/s2。求:

(1)力 F1 的作用时间 t1;

(2)力 F2 的大小。

【答案】(1)1s (2)7N

【解析】

(1)假设物体的加速度为,根据牛顿第二定律得

解得

由图可知,时刻物体的速度大小为,根据匀加速直线运动的速度公式可得

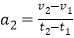
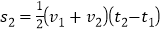
(2)设时刻物体速度大小为,则时间内位移

0时间内为位移

设物体的加速度为,则

根据牛顿第二定律得:

解得

练习册系列答案
相关题目

违法和不良信息举报电话:027-86699610 举报邮箱:58377363@163.com

精英家教网