ÌâÄ¿ÄÚÈÝ

ÈçͼËùʾ£¬Á½¸ù×ã¹»³¤µÄÖ±½ðÊôµ¼¹ìMN¡¢PQƽÐзÅÖÃÔÚÇã½ÇΪ¦ÈµÄ¾øÔµÐ±ÃæÉÏ£¬Á½µ¼¹ì¼ä¾àΪL¡£M¡¢PÁ½µã¼ä½ÓÓÐ×èֵΪRµÄµç×è¡£Ò»¸ùÖÊÁ¿ÎªmµÄ¾ùÔÈÖ±½ðÊô¸Ëab·ÅÔÚÁ½µ¼¹ìÉÏ£¬²¢Óëµ¼¹ì´¹Ö±¡£ÕûÌ××°Öô¦ÓÚÔÈÇ¿´Å³¡ÖУ¬´Å³¡·½Ïò´¹Ö±ÓÚÐ±ÃæÏòÉÏ¡£µ¼¹ìºÍ½ðÊô¸ËµÄµç×è¿ÉºöÂÔ¡£ÈýðÊô¸ËabÑØµ¼¹ìÓɾ²Ö¹¿ªÊ¼Ï»¬£¬¾­¹ý×ã¹»³¤µÄʱ¼äºó£¬½ðÊô¸Ë´ïµ½×î´óËÙ¶Èvm£¬ÔÚÕâ¸ö¹ý³ÌÖУ¬µç×èRÉϲúÉúµÄÈÈΪQ¡£µ¼¹ìºÍ½ðÊô¸Ë½Ó´¥Á¼ºÃ£¬ËüÃÇÖ®¼äµÄ¶¯Ä¦²ÁÒòÊýΪ¦Ì£¬ÇÒ¦Ì<tan¦È¡£ÒÑÖªÖØÁ¦¼ÓËÙ¶ÈΪg¡£

(1)Çó´Å¸ÐӦǿ¶ÈµÄ´óС£»
(2)½ðÊô¸ËÔÚ¼ÓËÙÏ»¬¹ý³ÌÖУ¬µ±Ëٶȴﵽʱ£¬Çó´Ëʱ¸ËµÄ¼ÓËÙ¶È´óС£»
(3)Çó½ðÊô¸Ë´Ó¾²Ö¹¿ªÊ¼ÖÁ´ïµ½×î´óËٶȵĹý³ÌÖÐϽµµÄ¸ß¶È¡£

(1) (2) (3)

½âÎöÊÔÌâ·ÖÎö£º¢Åµ±¸Ë´ïµ½×î´óËÙ¶ÈʱÊÜÁ¦Æ½ºâ£¬Ôò£¬µç·ÖеçÁ÷

½âµÃ£º

£¨2£©µ±¸ËµÄËÙ¶ÈΪʱ£¬ÓÉÅ£¶ÙµÚ¶þ¶¨ÂɵÃ
´Ëʱµç·ÖеçÁ÷Ϊ

½âµÃ£º

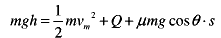
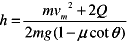
£¨3£©Éè½ðÊô¸Ë´Ó¾²Ö¹¿ªÊ¼ÖÁ´ïµ½Ò´´óËٶȵĹý³ÌÖÐϽµµÄ¸ß¶ÈΪh£¬ÓÉÄÜËäÊØºãµÃ

ÓÖ£¬£¬µÃ£º
¿¼µã£ºµ¼ÌåÇиî´Å¸ÐÏßʱµÄ¸ÐÓ¦µç¶¯ÊÆ£»Å£¶ÙµÚ¶þ¶¨ÂÉ£»°²ÅàÁ¦£»µç´Å¸ÐÓ¦ÖеÄÄÜÁ¿×ª»¯£®
µãÆÀ£º±¾ÌâµÄ¹Ø¼üÊÇ»áÍÆµ¼°²ÅàÁ¦µÄ±í´ïʽ£¬¸ù¾ÝƽºâÌõ¼þ¡¢Å£¶ÙµÚ¶þ¶¨ÂɺÍÄÜÁ¿ÊغãÑо¿µç´Å¸ÐÓ¦ÏÖÏ󣬳£¹æÌ⣮

Á·Ï°²áϵÁдð°¸
Ïà¹ØÌâÄ¿

Î¥·¨ºÍ²»Á¼ÐÅÏ¢¾Ù±¨µç»°£º027-86699610 ¾Ù±¨ÓÊÏ䣺58377363@163.com

¾«Ó¢¼Ò½ÌÍø