题目内容

已知太阳到地球与地球到月球的距离的比值约为390,月球绕地球旋转的周期约为27天.利用上述数据以及日常的天文知识,可估算出太阳对月球与地球对月球的万有引力的比值约为

A.0.2

B.2

C.20

D.200

答案:B
解析:

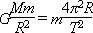
设太阳质量M,地球质量m,月球质量m0,日地间距离为R,月地间距离为r,日月之间距离近似等于R,地球绕太阳的周期为T约为360天,月球绕地球的周期为t27天.对地球绕着太阳转动,由万有引力定律:,同理对月球绕着地球转动:则太阳质量与地球质量之比为Mm;太阳对月球的万有引力F,地球对月球的万有引力f,故Ff,带入太阳与地球质量比,计算出比值约为2B对.


练习册系列答案
相关题目

违法和不良信息举报电话:027-86699610 举报邮箱:58377363@163.com

精英家教网