题目内容
如图甲所示,物体A、B的质量分别是6kg和10kg,用轻弹簧相连放在光滑的水平面上,物体B左侧与竖直墙壁接触,另有一物体C从t=0时刻起水平向左运动,在t=3 s时与物体A相碰,并立即与A有相同的速度一起向左运动,物块C的速度一时间图象如图乙所示。求:弹簧压缩过程中系统具有的最大弹性势能。
解:由图象知,vt=6 m/s,vAC=2m/s
根据动量守恒定律;mCvC=(mA+mC)vAC
∴mC=3 kg
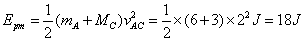
A、C压缩弹簧的过程中,动能转化为弹性势能,则

根据动量守恒定律;mCvC=(mA+mC)vAC
∴mC=3 kg
A、C压缩弹簧的过程中,动能转化为弹性势能,则
练习册系列答案
相关题目
| A、物块A在沿斜面下滑的过程中受到两个力的作用 | B、物体A在沿斜面下滑的过程中受到三个力的作用 | C、地面对斜面体B有水平向左的摩擦力作用 | D、斜面体B相对于地面没有水平向左或向右的运动趋势 |
| A、物块A在沿斜面下滑的过程中受到两个力的作用 | B、物体A在沿斜面下滑的过程中受到三个力的作用 | C、地面对斜面体B有水平向左的摩擦力作用 | D、斜面体B相对于地面没有水平向左或向右的运动趋势 |