ÌâÄ¿ÄÚÈÝ

£¨13·Ö£©ÈçͼËùʾ£¬Ôڹ⻬µÄË®Æ½ÃæÉÏÓÐÒ»³¤ÎªLµÄľ°åB£¬ÉϱíÃæ´Ö²Ú£¬ÔÚÆä×ó¶ËÓÐÒ»¹â»¬µÄ1/4Ô²»¡²ÛC£¬Ó볤ľ°å½Ó´¥µ«²»ÏàÁ¬£¬Ô²»¡²ÛµÄ϶ËÓëľ°åÉϱíÃæÏàÆ½£¬B¡¢C¾²Ö¹ÔÚË®Æ½ÃæÉÏ¡£ÏÖÓл¬¿éAÒÔ³õËÙv0´ÓÓÒ¶Ë»¬ÉÏB£¬Ò»¶Îʱ¼äºó£¬ÒÔv0/2»¬ÀëB£¬²¢Ç¡ºÃÄܵ½´ïCµÄ×î¸ßµã¡£A¡¢B¡¢CµÄÖÊÁ¿¾ùΪm¡£Çó£º

¢ÅA¸Õ»¬Àëľ°åBʱ£¬Ä¾°åBµÄËÙ¶È£»

¢ÆAÓëBµÄÉϱíÃæ¼äµÄ¶¯Ä¦²ÁÒòÊý¦Ì£»

¢ÇÔ²»¡²ÛCµÄ°ë¾¶R£»

¢È´Ó¿ªÊ¼»¬ÉÏBµ½×îºó»¬ÀëCµÄ¹ý³ÌÖÐAËðʧµÄ»úеÄÜ¡£

 

¡¾´ð°¸¡¿

¢Åv0/4 ¢Æ5v02/16gL £¨3£©v02/64g£¨4£©15mv02/32

¡¾½âÎö¡¿

ÊÔÌâ·ÖÎö£º£¨1£©¶ÔAÔÚ³¤Ä¾°åBÉϵϬ¶¯¹ý³Ì£¬È¡ABCΪһ¸öϵͳ£¬¸ù¾Ý¶¯Á¿Êغ㶨ÂÉÓУº

½âµÃ

(2) ¶ÔAÔÚ³¤Ä¾°åBÉϵϬ¶¯¹ý³Ì,ABCϵͳ¶¯ÄܼõÉÙÈ«²¿×ª»¯ÎªÏµÍ³µÄĦ²ÁÉúÈÈ

½âµÃ5v02/16gL

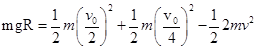
¢Ç¶ÔA»¬ÉÏCÖ±µ½×î¸ßµãµÄ×÷Óùý³Ì£¬ACϵͳ¶¯Á¿Êغ㣬mv0/2+mvB=2mv¢Ù

ACϵͳ»úеÄÜÊØºã  ¢Ú

¢Ù¢ÚÁªÁ¢µÃR= v02/64g

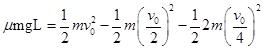
¢È¶ÔA»¬ÉÏCÖ±µ½À뿪CµÄ×÷Óùý³Ì,ACϵͳ¶¯Á¿Êغãmv0/2+mv0/4=mvA+mvC¢Ù

ACϵͳ³õ¡¢Ä©×´Ì¬¶¯ÄÜÏàµÈ£¬¢Ú

¢Ù¢ÚÁªÁ¢½âµÃvA=v0/4¡£

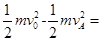
ËùÒÔ´Ó¿ªÊ¼»¬ÉÏBµ½×îºó»¬ÀëCµÄ¹ý³ÌÖÐAËðʧµÄ»úеÄÜΪ£º

15mv02/32

¿¼µã£º±¾Ì⿼²éÁ˶¯Á¿Êغ㶨ÂÉ£¬ÄÜÁ¿Êغ㶨ÂÉÒÔ¼°ÎïÌåµÄ¶àÔ˶¯¹ý³ÌÎÊÌâ¡£

 

Á·Ï°²áϵÁдð°¸
Ïà¹ØÌâÄ¿

Î¥·¨ºÍ²»Á¼ÐÅÏ¢¾Ù±¨µç»°£º027-86699610 ¾Ù±¨ÓÊÏ䣺58377363@163.com

¾«Ó¢¼Ò½ÌÍø