ÌâÄ¿ÄÚÈÝ

ÈçͼËùʾ£¬Á½¸ùÖÊÁ¿¾ùΪ2kgµÄ½ðÊô°ô´¹Ö±µØ·ÅÔڹ⻬ˮƽµ¼¹ìÉÏ£¬×óÓÒÁ½²¿·Öµ¼¹ì¼ä¾àÖ®±ÈΪ1¡Ã2£¬µ¼¹ì¼äÓдóСÏàµÈµ«×óÓÒÁ½²¿·Ö·½ÏòÏà·´µÄÔÈÇ¿´Å³¡£¬Á½°ôµç×èÓë°ô³¤³ÉÕý±È£¬²»¼Æµ¼¹ìµç×裬½ñÓÃ250NµÄˮƽÁ¦ÏòÓÒÀ­CD°ô£¬ÔÚCD°ôÔ˶¯0.5mµÄ¹ý³ÌÖУ¬CD°ôÉϲúÉúµÄ½¹¶úÈÈQ=30J£¬´ËʱÁ½°ôËÙÂÊÖ®±È£¬Á¢¼´³·È¥À­Á¦£¬Éèµ¼¹ì×ã¹»³¤£¬ÇóÁ½°ô×îÖÕÔÈËÙÔ˶¯µÄËٶȺͣ®

´ð°¸£º
½âÎö£º

·ÖÎö£ºAB¡¢CDΪ´®Áª£¬¸ù¾Ý´®Áª¹¦ÂÊÕý±È·ÖÅäÔ­Àí¿ÉÖª

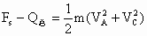
¶ø

¢Ù

ÓÖ

½âµÃ Ïò×ó

ÏòÓÒ

³·È¥ÍâÁ¦ºóÒò£¬¹Ê]

Á½°ôÊܰ²ÅàÁ¦³åÁ¿ÓëÁ¦³ÉÕý±È

ÓÐ

¢Ú

ÔÈËÙÔ˶¯Ê±£®»ØÂ·´ÅͨÁ¿²»±ä

¡à

¢Û

½âµÃ¡¡¡¡


Á·Ï°²áϵÁдð°¸
Ïà¹ØÌâÄ¿

Î¥·¨ºÍ²»Á¼ÐÅÏ¢¾Ù±¨µç»°£º027-86699610 ¾Ù±¨ÓÊÏ䣺58377363@163.com

¾«Ó¢¼Ò½ÌÍø