题目内容
I.如果木板质量m2=3kg,求物体相对木板滑动的最大距离;
II.如果木板质量m2=0.6kg,求物体相对木板滑动的最大距离.
【答案】分析:I.木板与竖直墙碰撞后,以原速反弹,根据动量守恒定律求出两者最终的速度,根据能量守恒定律求出物体相对木板滑动的最大距离.
II.木板与竖直墙碰撞后,以原速反弹,根据动量守恒定律知木板将与竖直墙再次碰撞,最后木板停在竖直墙处,根据能量守恒定律求出物体相对木板滑动的最大距离.
解答:解:Ⅰ.木板与竖直墙碰撞后,以原速反弹,由动量守恒定律
m2v-m1v=(m1+m2)v
v=0.4m/s,方向向左,不会与竖直墙再次碰撞.
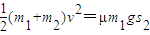
由能量守恒定律

解得 s1=0.96m
Ⅱ.木板与竖直墙碰撞后,以原速反弹,由动量守恒定律
m2v-m1v=(m1+m2)v′
v′=-0.2m/s,方向向右,将与竖直墙再次碰撞,最后木板停在竖直墙处
由能量守恒定律

解得 s2=0.512m.
答:(1)如果木板质量m2=3kg,求物体相对木板滑动的最大距离为0.96m.
(2)如果木板质量m2=0.6kg,求物体相对木板滑动的最大距离为0.512m.
点评:本题综合运用了动量守恒定律和能量守恒定律,难度较大,关键是根据动量守恒定律理清木板和木块最终的运动情况.
II.木板与竖直墙碰撞后,以原速反弹,根据动量守恒定律知木板将与竖直墙再次碰撞,最后木板停在竖直墙处,根据能量守恒定律求出物体相对木板滑动的最大距离.
解答:解:Ⅰ.木板与竖直墙碰撞后,以原速反弹,由动量守恒定律
m2v-m1v=(m1+m2)v
v=0.4m/s,方向向左,不会与竖直墙再次碰撞.
由能量守恒定律
解得 s1=0.96m
Ⅱ.木板与竖直墙碰撞后,以原速反弹,由动量守恒定律
m2v-m1v=(m1+m2)v′
v′=-0.2m/s,方向向右,将与竖直墙再次碰撞,最后木板停在竖直墙处
由能量守恒定律
解得 s2=0.512m.
答:(1)如果木板质量m2=3kg,求物体相对木板滑动的最大距离为0.96m.
(2)如果木板质量m2=0.6kg,求物体相对木板滑动的最大距离为0.512m.
点评:本题综合运用了动量守恒定律和能量守恒定律,难度较大,关键是根据动量守恒定律理清木板和木块最终的运动情况.
练习册系列答案
相关题目