题目内容

两根足够长的固定的平行金属导轨位于同一水平面内,两导轨间的距离为L.导轨上面横放着两根导体棒abcd,构成矩形回路,如图所示.两根导体棒的质量皆为m,电阻皆为R,回路中其余部分的电阻可不计.在整个导轨平面内都有竖直向上的匀强磁场,磁感应强度为B.设两导体棒均可沿导轨无摩擦地滑行.开始时,棒cd静止,棒ab有指向棒cd的初速度v0.若两导体棒在运动中始终不接触,求:

(1)在运动中产生的焦耳热最多是多少?

(2)当ab棒的速度变为初速度的3/4时,cd棒的加速度是多少?

答案:
解析:

  解:ab棒向cd棒运动时,两棒和导轨构成的回路面积变小,磁通量发生变化,于是产生感应电流.ab棒受到与运动方向相反的安培力作用作减速运动,cd棒则在安培力作用下做加速运动.在ab棒的速度大于cd棒的速度时,回路总有感应电流,ab棒继续减速,cd棒继续加速.两棒速度达到相同后,回路面积保持不变,磁通量不变化,不产生感应电流,两棒以相同的速度v作匀速运动.

  (1)从初始至两棒达到速度相同的过程中,两棒总动量守恒,有

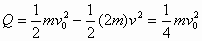
  根据能量守恒,整个过程中产生的总热量

  (2)设ab棒的速度变为初速度的3/4时,cd棒的速度为v1,则由动量守恒可知:

  

  此时回路中的感应电动势和感应电流分别为:

  此时棒所受的安培力:,所以棒的加速度为

  由以上各式,可得


练习册系列答案
相关题目

违法和不良信息举报电话:027-86699610 举报邮箱:58377363@163.com

精英家教网