题目内容
某次实验纸带的记录如图所示,图中前几个点模糊,因此从A点开始每打5个点取1个计数点,则小车通过D点时速度是______m/s,小车运动的加速度是______m/s2.(打点计时器的电源频率是50Hz)
【答案】分析:根据匀变速直线运动中时间中点的速度等于该过程中的平均速度,可以求出打纸带上D点时小车的瞬时速度大小.
根据匀变速直线运动的推论公式△x=aT2可以求出加速度的大小,
解答:解:从A点开始每打5个点取1个计数点,相邻的计数点之间的时间间隔是0.1s
(1)根据匀变速直线运动中时间中点的速度等于该过程中的平均速度,

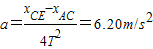
(2)逐差法求解:

故答案为:(1)2.46
(2)6.20
点评:本题考查了打点计时器的应用以及根据纸带求物体运动的速度、加速度等问题,要熟练掌握从纸带上获取小车速度、加速度的方法.
要注意单位的换算和有效数字的保留.
根据匀变速直线运动的推论公式△x=aT2可以求出加速度的大小,
解答:解:从A点开始每打5个点取1个计数点,相邻的计数点之间的时间间隔是0.1s
(1)根据匀变速直线运动中时间中点的速度等于该过程中的平均速度,
(2)逐差法求解:
故答案为:(1)2.46
(2)6.20
点评:本题考查了打点计时器的应用以及根据纸带求物体运动的速度、加速度等问题,要熟练掌握从纸带上获取小车速度、加速度的方法.
要注意单位的换算和有效数字的保留.
练习册系列答案
相关题目