ÌâÄ¿ÄÚÈÝ
£¨1£©Ä³Í¬Ñ§Éè¼ÆÁËÒ»¸ö̽¾¿Ð¡³µµÄ¼ÓËÙ¶ÈaÓëС³µËùÊܺÏÁ¦F¼°ÖÊÁ¿m¹ØÏµµÄʵÑ飬ͼ34-1ΪʵÑé×°Öüòͼ£®¢ÙËûÏëÓù³ÂëµÄÖØÁ¦±íʾС³µÊܵ½µÄºÏÍâÁ¦£¬ÎªÁ˼õСÕâÖÖ×ö·¨´øÀ´µÄʵÑéÎó²î£¬ÄãÈÏΪÏÂÁÐÄĶþÏî˵·¨ÊÇÕýÈ·µÄ£º______
A£®ÒªÆ½ºâĦ²ÁÁ¦ B£®ÊµÑéʱ²»ÐèҪƽºâĦ²ÁÁ¦
C£®¹³ÂëµÄÖØÁ¦ÒªÔ¶Ð¡ÓÚС³µµÄ×ÜÖØÁ¦ D£®Ð¡³µµÄ×ÜÖØÁ¦ÒªÔ¶Ð¡ÓÚ¹³ÂëµÄÖØÁ¦
¢ÚÈôÒªÓÃͼ1×°ÖÃÑéÖ¤ºÏÍâÁ¦µÄ¹¦Ó붯Äܱ仯֮¼äµÄ¹ØÏµ£¬ÔڢٵĻù´¡ÉÏ£¬Ä³Í¬Ñ§ÓÃÌìÆ½³ÆÁ¿Ð¡³µµÄ×ÜÖÊÁ¿M£®Óõ¯»É³Ó³Æ³ö¹³ÂëµÄ×ÜÖØÁ¦G£®Èù³Âë´ø¶¯Ð¡³µ¼ÓËÙÔ˶¯£¬Óôòµã¼ÆÊ±Æ÷¼Ç¼ÆäÔ˶¯Çé¿ö£¬ÔÚ´òµã¼ÆÊ±Æ÷´ò³öµÄÖ½´øÉÏÈ¡Á½µã£¬²â³öÕâÁ½µãµÄ¼ä¾àLºÍÕâÁ½µãµÄËÙ¶È´óСv1Óëv2£¨v1£¼v2£©£®Ôò±¾ÊµÑé×îÖÕÒªÑéÖ¤µÄÊýѧ±í´ïʽΪ______2-
| 1 |
| 2 |
| v | 21 |
¡¾´ð°¸¡¿·ÖÎö£º£¨1£©¢Ù¸ÃʵÑé×°ÖÃÓÚÑé֤ţ¶ÙµÚ¶þ¶¨ÂɵÄʵÑé×°ÖÃÏàͬ£¬ÎªÁËÈÃíÀÂëµÄÖØÁ¦¸ü¼Ó½Ó½üΪС³µµÄºÏÍâÁ¦£¬±¾ÊµÑéÖÐÐèҪƽºâĦ²ÁÁ¦ºÍÈÃíÀÂëÖØÁ¦Ô¶Ô¶Ð¡ÓÚС³µÖØÁ¦£®
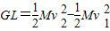
¢ÚÐèÒªÑéÖ¤µÄ¹ØÏµÎªÖØÁ¦ÊÆÄܵļõСÁ¿µÈÓÚ¶¯ÄܵÄÔö¼ÓÁ¿£¬¾Ý´Ë¿ÉÕýȷд³öÑéÖ¤»úеÄÜÊØºãµÄ±í´ïʽ£®
£¨2£©¢Ù¸ù¾Ý×ÔÓÉÂäÌåÔ˶¯¹æÂÉ¿ÉÖª¿ªÊ¼Á½µãÖ®¼ä¾àÀëÓ¦¸Ã½Ó½ü2mm£®
¢ÚÀûÓÃÔÚÔȱäËÙÖ±ÏßÔ˶¯ÖУ¬Öмäʱ¿ÌµÄ˲ʱËٶȵÈÓڸùý³ÌÖÐµÄÆ½¾ùËÙ¶ÈÀ´ÇóBµÄËÙ¶È´óС£¬È»ºó¸ù¾Ý¶¯ÄÜ¡¢ÊÆÄܶ¨Òå½øÒ»²½ÇóµÃ¶¯ÄܺÍÊÆÄܵı仯Çé¿ö£®
¢ÛÓÉÓÚÎïÌåÏÂÂä¹ý³ÌÖдæÔÚĦ²Á×èÁ¦£¬Òò´Ë¶¯ÄܵÄÔö¼ÓÁ¿Ð¡ÓÚÊÆÄܵļõСÁ¿£®
½â´ð£º½â£º£¨1£©¢Ù¸ù¾ÝʵÑéÔÀíÎÒÃÇÖªµÀ£¬ÎªÁËÈÃíÀÂëµÄÖØÁ¦¸ü¼Ó½Ó½üΪС³µµÄºÏÍâÁ¦£¬±¾ÊµÑéÖÐÐèҪƽºâĦ²ÁÁ¦ºÍÈÃíÀÂëÖØÁ¦Ô¶Ô¶Ð¡ÓÚС³µÖØÁ¦£¬¹ÊBD´íÎó£¬ACÕýÈ·£®
¹ÊÑ¡AC£®
¢Ú±¾ÊµÑéÐèÒªÑéÖ¤µÄÊÇÖØÁ¦ÊÆÄܵļõСÁ¿ÊÇ·ñµÈÓÚ¶¯ÄܵÄÔö¼ÓÁ¿£¬Òò´ËÐèÒªÑéÖ¤µÄ±í´ïʽΪ£º
£®
¹Ê´ð°¸Îª£º£º
£®
£¨2£©¢Ù´òµã¼ÆÊ±Æ÷ÿ¸ô0.02s´òÒ»¸öµã£¬Òò´Ë¿ªÊ¼Á½µãÖ®¼äµÄ¾àÀë½Ó½üÓÚ£º
£¬¾Ý´Ë¿É֪ѡÔñÖ½´ø¼××îºÃ£®
¹Ê´ð°¸Îª£º¼×£®
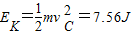
¢ÚÖØÁ¦ÊÆÄܵļõСÁ¿Îª£ºmghOC=7.62J
CµãµÄËÙ¶ÈΪ£º
CµãʱµÄ¶¯ÄÜΪ£º
¹Ê´ð°¸Îª£º7.62£¬7.56£®
¢ÛÓÉÓÚÖØÎïÏÂÂä¹ý³ÌÖдæÔÚ¿ÕÆø×èÁ¦£¬ÖØÎï¿Ë·þ×èÁ¦×ö¹¦ÏûºÄÄÜÁ¿£¬Òò´Ë¡÷Ep ÂÔ´óÓÚ¡÷Ek£®
¹Ê´ð°¸Îª£º´ó£¬ÓÉÓÚ¿ÕÆøµÄ×èÁ¦£¬Ö½´øÓë´òµã¼ÆÊ±Æ÷Ö®¼äÓÐĦ²Á£®
µãÆÀ£ºÕýÈ·½â´ðʵÑéÎÊÌâµÄǰÌáÊÇÃ÷ȷʵÑéÔÀí£¬´ÓʵÑéÔÀí³ö·¢½øÐзÖÎöËùÐèʵÑéÆ÷²Ä¡¢ÊµÑé²½Öè¡¢Ëù²âÊý¾ÝµÈ£¬»áÆðµ½Ê°빦±¶µÄЧ¹û£®
¢ÚÐèÒªÑéÖ¤µÄ¹ØÏµÎªÖØÁ¦ÊÆÄܵļõСÁ¿µÈÓÚ¶¯ÄܵÄÔö¼ÓÁ¿£¬¾Ý´Ë¿ÉÕýȷд³öÑéÖ¤»úеÄÜÊØºãµÄ±í´ïʽ£®
£¨2£©¢Ù¸ù¾Ý×ÔÓÉÂäÌåÔ˶¯¹æÂÉ¿ÉÖª¿ªÊ¼Á½µãÖ®¼ä¾àÀëÓ¦¸Ã½Ó½ü2mm£®
¢ÚÀûÓÃÔÚÔȱäËÙÖ±ÏßÔ˶¯ÖУ¬Öмäʱ¿ÌµÄ˲ʱËٶȵÈÓڸùý³ÌÖÐµÄÆ½¾ùËÙ¶ÈÀ´ÇóBµÄËÙ¶È´óС£¬È»ºó¸ù¾Ý¶¯ÄÜ¡¢ÊÆÄܶ¨Òå½øÒ»²½ÇóµÃ¶¯ÄܺÍÊÆÄܵı仯Çé¿ö£®
¢ÛÓÉÓÚÎïÌåÏÂÂä¹ý³ÌÖдæÔÚĦ²Á×èÁ¦£¬Òò´Ë¶¯ÄܵÄÔö¼ÓÁ¿Ð¡ÓÚÊÆÄܵļõСÁ¿£®
½â´ð£º½â£º£¨1£©¢Ù¸ù¾ÝʵÑéÔÀíÎÒÃÇÖªµÀ£¬ÎªÁËÈÃíÀÂëµÄÖØÁ¦¸ü¼Ó½Ó½üΪС³µµÄºÏÍâÁ¦£¬±¾ÊµÑéÖÐÐèҪƽºâĦ²ÁÁ¦ºÍÈÃíÀÂëÖØÁ¦Ô¶Ô¶Ð¡ÓÚС³µÖØÁ¦£¬¹ÊBD´íÎó£¬ACÕýÈ·£®
¹ÊÑ¡AC£®
¢Ú±¾ÊµÑéÐèÒªÑéÖ¤µÄÊÇÖØÁ¦ÊÆÄܵļõСÁ¿ÊÇ·ñµÈÓÚ¶¯ÄܵÄÔö¼ÓÁ¿£¬Òò´ËÐèÒªÑéÖ¤µÄ±í´ïʽΪ£º
¹Ê´ð°¸Îª£º£º
£¨2£©¢Ù´òµã¼ÆÊ±Æ÷ÿ¸ô0.02s´òÒ»¸öµã£¬Òò´Ë¿ªÊ¼Á½µãÖ®¼äµÄ¾àÀë½Ó½üÓÚ£º
¹Ê´ð°¸Îª£º¼×£®
¢ÚÖØÁ¦ÊÆÄܵļõСÁ¿Îª£ºmghOC=7.62J
CµãµÄËÙ¶ÈΪ£º
CµãʱµÄ¶¯ÄÜΪ£º
¹Ê´ð°¸Îª£º7.62£¬7.56£®
¢ÛÓÉÓÚÖØÎïÏÂÂä¹ý³ÌÖдæÔÚ¿ÕÆø×èÁ¦£¬ÖØÎï¿Ë·þ×èÁ¦×ö¹¦ÏûºÄÄÜÁ¿£¬Òò´Ë¡÷Ep ÂÔ´óÓÚ¡÷Ek£®
¹Ê´ð°¸Îª£º´ó£¬ÓÉÓÚ¿ÕÆøµÄ×èÁ¦£¬Ö½´øÓë´òµã¼ÆÊ±Æ÷Ö®¼äÓÐĦ²Á£®
µãÆÀ£ºÕýÈ·½â´ðʵÑéÎÊÌâµÄǰÌáÊÇÃ÷ȷʵÑéÔÀí£¬´ÓʵÑéÔÀí³ö·¢½øÐзÖÎöËùÐèʵÑéÆ÷²Ä¡¢ÊµÑé²½Öè¡¢Ëù²âÊý¾ÝµÈ£¬»áÆðµ½Ê°빦±¶µÄЧ¹û£®
Á·Ï°²áϵÁдð°¸
Ïà¹ØÌâÄ¿