题目内容

如图所示,一带负电的滑块从粗糙斜面的顶端滑至底端时的速率为v,若加一个垂直纸面向外的匀强磁场,并保证滑块能滑至底端,则它滑至底端时的速率( )
A.变大
B.变小
C.不变
D.条件不足,无法判断
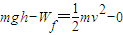
【答案】分析:未加磁场时,滑块受到重力、支持力,摩擦力,加磁场后,根据左手定则,多了一个垂直斜面向下的洛伦兹力.两种情况重力做功相同,洛伦兹力不做功,但加磁场时对斜面的正压力变大,摩擦力变大,克服摩擦力做功变多,根据动能定理,即可比较出两种情况到达底端的速率.
解答:解:未加磁场时,根据动能定理,有.加磁场后,多了洛伦兹力,洛伦兹力不做功,但正压力变大,摩擦力变大,根据动能定理,有,Wf′>Wf,所以v′<v.故B正确,A、C、D错误.
故选B.
点评:解决本题的关键两次运用动能定理,两种情况重力功相同,多了磁场后多了洛伦兹力,洛伦兹力不做功,但导致摩擦力变大,即两种情况摩擦力做功不同,从而比较出到达底端的速率.
练习册系列答案
相关题目

违法和不良信息举报电话:027-86699610 举报邮箱:58377363@163.com

精英家教网