ÌâÄ¿ÄÚÈÝ
A£®R2²»±äʱ£¬V2µÄ¶ÁÊýÓëA¶ÁÊýÖ®±ÈµÈÓÚR1
B£®R2²»±äʱ£¬V1µÄ¶ÁÊýÓëA¶ÁÊýÖ®±ÈµÈÓÚR1
C£®R2¸Ä±äʱ£¬V1¶ÁÊýµÄ±ä»¯Á¿µÄ¾ø¶ÔÖµ´óÓÚV2¶ÁÊýµÄ±ä»¯Á¿µÄ¾ø¶ÔÖµ
D£®R2¸Ä±äʱ£¬V1¶ÁÊýµÄ±ä»¯Á¿µÄ¾ø¶ÔֵСÓÚV2¶ÁÊýµÄ±ä»¯Á¿µÄ¾ø¶ÔÖµ
¡¾´ð°¸¡¿·ÖÎö£ºÊ×ÏÈÃ÷È·ÀíÏëµçѹ±í¶Ôµç·ûÓÐÓ°Ï죬·ÖÎöµç·½á¹¹Ê±£¬µçѹ±í¿´×÷Óë±»²âµç·¶Ï¿ª£®¸ù¾Ý·ü°²·¨ÔÀí£¬ÄÜÖªµÀ²âÁ¿Äĸöµç×èµÄ×èÖµ£®ÓÉ·¶Ëµçѹ£¨¼´Á½µçѹ±íʾÊýÖ®ºÍ£©µÄ±ä»¯À´È·¶¨Á½¸öµçѹ±í±ä»¯Á¿µÄ´óС£®
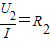
½â´ð£º½â£ºA¡¢R2²»±äʱ£¬
£¬¹ÊA´íÎó£®
B¡¢R2²»±äʱ£¬
£¬¹ÊBÕýÈ·£®
C¡¢D£¬µ±R2Ôö´óʱ£¬µçÁ÷I¼õС£¬U1¼õС£¬U2=E-I£¨R1+r£©Ôö´ó£¬Â·¶ËµçѹU=E-IrÔö´ó£¬¶øU1+U2=U£¬Ôò¿ÉÖªU1µÄ¼õСÁ¿Ð¡ÓÚU2µÄÔö¼ÓÁ¿£»
ͬÀí£¬R2¼õСʱ£¬U1µÄÔö¼ÓÁ¿Ð¡ÓÚU2µÄ¼õСÁ¿£®¹ÊDÕýÈ·£®
¹ÊÑ¡BD
µãÆÀ£º±¾ÌâÄѵãÔÚÓÚÈçºÎÈ·¶¨Á½µçѹ±í¶ÁÊý±ä»¯Á¿µÄ´óС£¬¼¼ÇÉÊÇÑо¿Á½µçѹ±í¶ÁÊýÖ®ºÍ¼´Â·¶ËµçѹÈçºÎ±ä»¯£®Â·¶ËµçѹÔö¼Ó£¬Ôö¼ÓÁ¿´ó£»Â·¶Ëµçѹ¼õС£¬¼õСÁ¿´ó£»
½â´ð£º½â£ºA¡¢R2²»±äʱ£¬
B¡¢R2²»±äʱ£¬
C¡¢D£¬µ±R2Ôö´óʱ£¬µçÁ÷I¼õС£¬U1¼õС£¬U2=E-I£¨R1+r£©Ôö´ó£¬Â·¶ËµçѹU=E-IrÔö´ó£¬¶øU1+U2=U£¬Ôò¿ÉÖªU1µÄ¼õСÁ¿Ð¡ÓÚU2µÄÔö¼ÓÁ¿£»
ͬÀí£¬R2¼õСʱ£¬U1µÄÔö¼ÓÁ¿Ð¡ÓÚU2µÄ¼õСÁ¿£®¹ÊDÕýÈ·£®
¹ÊÑ¡BD
µãÆÀ£º±¾ÌâÄѵãÔÚÓÚÈçºÎÈ·¶¨Á½µçѹ±í¶ÁÊý±ä»¯Á¿µÄ´óС£¬¼¼ÇÉÊÇÑо¿Á½µçѹ±í¶ÁÊýÖ®ºÍ¼´Â·¶ËµçѹÈçºÎ±ä»¯£®Â·¶ËµçѹÔö¼Ó£¬Ôö¼ÓÁ¿´ó£»Â·¶Ëµçѹ¼õС£¬¼õСÁ¿´ó£»
Á·Ï°²áϵÁдð°¸
Ïà¹ØÌâÄ¿
| A¡¢R1¶Ï· | B¡¢R2¶Ï· | C¡¢R3¶Ï· | D¡¢µÆA¶Ï· |
| A¡¢±ÕºÏ¿ª¹Ø£¬aÏÈÁÁ£¬bºóÁÁ£»¶Ï¿ª¿ª¹Ø£¬a¡¢bͬʱϨÃð | B¡¢±ÕºÏ¿ª¹Ø£¬bÏÈÁÁ£¬aºóÁÁ£»¶Ï¿ª¿ª¹Ø£¬aÏÈϨÃð£¬bºóϨÃð | C¡¢±ÕºÏ¿ª¹Ø£¬bÏÈÁÁ£¬aºóÁÁ£»¶Ï¿ª¿ª¹Ø£¬a¡¢bͬʱϨÃð | D¡¢±ÕºÏ¿ª¹Ø£¬a¡¢bͬʱÁÁ£»¶Ï¿ª¿ª¹Ø£¬bÏÈϨÃð£¬aºóϨÃð |