题目内容

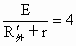
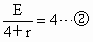
如图所示,,当变阻器的滑片滑到A端时,电压表示数为15V,滑片滑到B端时,电流表示数为4A,那么,电源电动势E=________,电源内阻r=________.

答案:
解析:

20V,1Ω

解析:滑片滑到A端,串联,再与并联则,由题意知,,即,滑片滑到B端,串联,再与并联.则由题意知,即,联立①②解得E=20Vr=1Ω


练习册系列答案
相关题目
(1)某同学在测量物块做匀减速直线运动时,利用打点计时器得到了如图所示的纸带,纸带上每相邻计数点间还有4个计时点未标出,打点计时器所用的交流电频率为50Hz,忽略纸带所受的阻力.
精英家教网
①由此可判断纸带的
 
 (“左端”或“右端”)与物块连接.根据纸带提供的数据可计算打点计时器在打下A点和B点时物块的速度,其中VA=
 
m/s.(结果保留两位有效数字)
②从图示纸带不能得到的物理量是
 

A.木块运动的加速度a               B.A、B间的平均速度
C.物块质量m                      D.A、B对应的运动时间t
③如要测量在AB段合外力对物块所做的功WAB,还需要提供的实验器材是
 

A.秒表                B.天平                 C.弹簧
(2)某物理兴趣小组通过查阅资料知道将锌、铜两电极插入水果中,其“水果电池”电动势会有1V多一点,甲同学找来了一个柠檬做实验,用量程为0~3V、内阻约50kΩ的电压表测其两极时读数为0.96V,但当他将四个这样的电池串起来给标称值为“3V 0.5A”的小灯泡供电时,灯泡并不发光,检查灯泡、线路均无故障,这是因为“柠檬电池”的内阻较大的原因.
①乙同学用内阻约为500Ω的灵敏电流表直接连“柠檬电池”的两极,测得电流为0.32mA,根据前茅电压表测得的0.96V电压,估算出“柠檬电池”的内组值约为
 

②为了更准确测定一个“柠檬电池”的电动势和内阻,实验室提供了一下一些器材可供选择:
A.灵敏电流表A1(量程0~0.6mA,内阻为800Ω)
B.灵敏电流表A2(量程0~250μA,内阻未知)
C.滑动变阻器R(最大阻值约10Ω)
D.变阻箱R′(0~9999Ω)
E.开关s和导线若干
为了尽可能准确测定“柠檬电池”的电动势和内阻,实验中除了带有锌、铜两极的水果电池外,还应选择的器材是
 
(填器材前的字母代号)

违法和不良信息举报电话:027-86699610 举报邮箱:58377363@163.com

精英家教网