题目内容

一小球在某高处以v0=10 m/s的初速度被水平抛出,经s落地,不计空气阻力,g=10 m/s2,求:

(1)小球落地点与抛出点的距离

(2)小球落地时速度

答案:
解析:

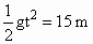
  解:竖直距离y=  3分

  水平距离=  3分

  位移  1分

  竖直方向速度  3分

  落地时的速度  3分

  与水平地面夹角α   α=60°

  即小球的落地速度与水平地面成60°角  2分


练习册系列答案
相关题目

违法和不良信息举报电话:027-86699610 举报邮箱:58377363@163.com

精英家教网