题目内容
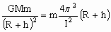
我国将于今年下半年发射环月无人宇宙飞船“嫦娥一号”.“嫦娥一号”将在距离月球表面高为h处绕月球做匀速圆周运动.已知月球半径为R,月球表面的重力加速度大小为g.试求“嫦娥一号”环绕月球运动的周期和线速度大小.
答案:
解析:
解析:
|
解:对“嫦娥一号”有: 对月球表面所放物体有: 二者联合解得: |
练习册系列答案
相关题目
| A、“天宫一号”的发射速度应大于第二宇宙速度 | B、对接前,“神舟八号”欲追上“天宫一号”,必须在同一轨道上点火加速 | C、对接时,“神舟八号”与“天宫一号”的加速度相等 | D、对接后,“天宫一号”的速度小于第一宇宙速度 |