题目内容
质量为m的探月航天器在接近月球表面的轨道上飞行,其运动视为匀速圆周运动。已知月球质量为M,月球半径为R,月球表面重力加速度为g,引力常量为G,不考虑月球自转的影响,则航天器的( )
| A.线速度 | B.角速度 |
| C.运行周期 | D.向心加速度 |
AC
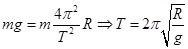
解析试题分析:根据万有引力提供卫星做圆周运动的向心力和万有引力等于重力得出:
A、
,故A正确;
B、
,故B错误;
C、
故C正确;
D、
,故D错误.
故选AC.
考点:万有引力定律及其应用.
点评:应用万有引力定律进行卫星加速度、速度、周期和中心天体质量的估算.
练习册系列答案
相关题目
质量为m的探月航天器在离月球表面高度为R的轨道上飞行,其运动视为匀速圆周运动.已知月球质量为M,月球半径也为R,月球表面重力加速度为g,引力常量为G,不考虑月球自转的影响,则航天器的( )
A、角速度ω=
| ||||
B、线速度v=
| ||||
C、运行周期T=2π
| ||||
D、向心加速度a=
|