题目内容

北京时间2009年3月1日下午15时36分,在距月球表面100 km的圆轨道上运行的质量为1.2×103 kg(连同燃料)的“嫦娥一号”卫星,在北京航天飞行控制中心科技人员的控制下发动机点火,在极短的时间内以4.92 km/s的速度(相对月球表面)向前喷出质量为50 kg的气体后,卫星减速,只在月球引力的作用下下落,最后成功撞击到月球东经52.36度、南纬1.50度的预定的丰富海区域,实现了预期目标,为中国探月一期工程画上一个圆满的句号.已知月球的半径R=1.7×103 km,月球表面的重力加速度=1.8 m/s2,求:

(1)“嫦娥一号”在圆轨道上的运行速度大小

(2)若忽略卫星下落过程中重力加速度的变化,求“嫦娥一号”撞击到月球表面时的速度大小

答案:
解析:

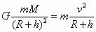
  解:(1)质量为m0的物体在月球上时m0=G

  卫星在高度为h的轨道上运行时

  v==1.7 km/s.

  (2)“嫦娥一号”喷出气体前后

  mv=(m-Δm)v1Δmv2

  代入数据,算得v1=1.56 km/s

  “嫦娥一号”在下落过程中

  

  代入数据,算得v2=1.67 km/s.


练习册系列答案
相关题目

违法和不良信息举报电话:027-86699610 举报邮箱:58377363@163.com

精英家教网