题目内容

(1)(6分)下列说法正确的是(    )

A.晶体熔化时吸收热量,分子平均动能一定增大   

B.布朗运动的无规则性反映了液体分子运动的无规则性

C.产生表面张力的原因是表面层内液体分子间斥力大于引力

D.当人们感到潮湿时,空气的绝对湿度一定较大

(2)(6分)一定质量的理想气体从状态A变化到状态B,再变化到状态C.其状态变化过程的p-V图象如图所示.已知该气体在状态A时的温度为27℃.求:

①该气体在状态C时的温度是多少?

②该气体从状态A到状态C的过程中是吸热还是放热?传递的热量是多少?

 

【答案】

(1) B   (2)吸热,热量为2000J

【解析】

试题分析:(1)晶体融化时需要吸收热量,但温度不一定升高,所以分子平均动能不一定增大,选项A错误。固体小颗粒做布朗运动说明了液体分子不停的做无规则运动,选项B正确。由于液体表面分子间距离大于液体内部分子间的距离,液面分子间只有引力,也有斥力,不过引力较显著,液体表面表现为具有收缩的趋势,选项C错误。在一定气温条件下,大气中相对湿度越大,水气蒸发也就越慢,人就感受到越潮湿,故当人们感到潮湿时,空气的相对湿度一定较小,但绝对湿度不一定小,选项D错误。故选B。

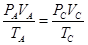
(2)①对理想气体从状态A到状态C,由理想气体状态方程:

       (2分)

其中:

解得:         (1分)

②因为状态A和状态C温度相等,且气体的内能是所有分子的动能之和,温度是分子平均动能的标志,

所以在这个过程中:          (1分)

由热力学第一定律得:故:

在整个过程中,气体在B到C过程对外做功所以:

          (1分)

即:Q=2000J,是正值,故在这个过程中为吸热,热量为2000J.        (2分)

考点:本题考查了晶体的性质、布朗运动、表面张力、相对湿度;理想气体状态方程、热力学第一定律。

 

练习册系列答案
相关题目

违法和不良信息举报电话:027-86699610 举报邮箱:58377363@163.com

精英家教网