题目内容

某动车组在平直轨道上经历匀加速、匀速与再次匀加速运行的一段时间内的v-t图像如图所示。已知动车组的总质量为2.0×105kg,假设动车组运动时受到的阻力是其重力的0.1倍,取g=10m/s2。由此可知:

A.在200s~450s内,动车组的牵引力为零

B.在0~600s内的匀加速、匀速与再次匀加速三段过程中,匀速过程中牵引力做功最多

C.动车组在0~600s内位移的大小为3×104m

D.0~600s内的最大牵引力为4.0×104N

 

【答案】

B

【解析】

试题分析:由题意知,动车组受阻力f=0.1mg=2×105N,由图象知200s~450s内动车组做匀速直线运动,牵引力等于阻力,故选项A错误;由v-t图象面积表示位移,匀加速运动位移x1=

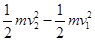
匀速运动位移x2=250×50=12500m,再次匀加速位移x3=,总位移x=x1+x2+x3=27750m,故选项C错误;匀加速运动过程由动能定理W1-fx1=,所以牵引力的功

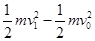
W1= fx1+=2×105×8000+=1.76×109J,匀速运动过程中牵引力的功W2=fx2=2.5×109J,再次匀加速运动过程由动能定理W3-fx3=,所以牵引力功W3= fx3+=2×105×9750+=2.34×109J,所以匀速过程牵引力功最多,选项B正确;匀加速与再次匀加速运动牵引力大于阻力,再此匀加速运动加速度大,故牵引力最大,由于加速度是v-t图象斜率,此段加速度a=,由牛顿第二定律知F-f=ma,所以牵引力F=f+ma=2×105+2×105×=2.4×105N,故选项D错误。

考点:v-t图象 动能定理

 

练习册系列答案
相关题目

违法和不良信息举报电话:027-86699610 举报邮箱:58377363@163.com

精英家教网