题目内容
已知某星球的质量是地球质量的81倍,半径是地球半径的9倍.在地球上发射一颗卫星,其第一宇宙速度为7.9km/s,则在某星球上发射一颗人造卫星,其发射速度最小是多少?
【答案】分析:建立模型:卫星绕地球做匀速圆周运动,地球对卫星的万有引力提供向心力.推广到其他球星.根据此模型,利用比例法求星球上发射人造卫星最小发射速度.
解答:解:设地球质量为M1,半径为R1;某星球的质量为M2,半径为R2
由万有引力定律得:
可得:
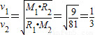
故地球和该星球第一宇宙速度之比为:
则在该星球上发射人造卫星速度至少为:v2=3v1=23.7km/s
答:在该星球上发射一颗人造卫星,其发射速度最小是23.7km/s.
点评:本题是卫星类型问题,关键是要建立物理模型,运用万有引力定律和向心力知识,加上数学变换来求解.
解答:解:设地球质量为M1,半径为R1;某星球的质量为M2,半径为R2
由万有引力定律得:
可得:
故地球和该星球第一宇宙速度之比为:
则在该星球上发射人造卫星速度至少为:v2=3v1=23.7km/s
答:在该星球上发射一颗人造卫星,其发射速度最小是23.7km/s.
点评:本题是卫星类型问题,关键是要建立物理模型,运用万有引力定律和向心力知识,加上数学变换来求解.
练习册系列答案
相关题目