题目内容
如图所示,水平地面上有一个坑,其竖直截面为半圆,O为圆心,且B为沿水平方向的直径.若在A点以初速度v1沿AB方向平抛一小球,小球将击中坑壁上的最低点D;而在C点以初速度v2沿BA方向平抛的小球也能击中D点.已知∠COD=60°,求两小球初速度之比v1:v2.(小球视为质点)
【答案】分析:根据平抛运动的竖直位移求出运动的时间,根据水平位移求出平抛运动的初速度.从而得出两球的初速度之比.
解答:解:小球从A点平抛,可得R=v1t1 R=
小球从C点平抛,可得Rsin60°=v2t2

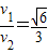
联立解得
.
答:两小球初速度之比v1:v2等于
.
点评:解决本题的关键知道平抛运动在水平方向上做匀速直线运动,在竖直方向上做自由落体运动,掌握平抛运动的运动学规律.
解答:解:小球从A点平抛,可得R=v1t1 R=
小球从C点平抛,可得Rsin60°=v2t2
联立解得
答:两小球初速度之比v1:v2等于
点评:解决本题的关键知道平抛运动在水平方向上做匀速直线运动,在竖直方向上做自由落体运动,掌握平抛运动的运动学规律.
练习册系列答案
相关题目