题目内容
A.
B.
C.
D.
【答案】分析:k接通前R1与R2串联,由欧姆定律可求得电路中的电流;k接通后,R2与R3并联后与R1串联,由欧姆定律可求得总电流,由并联电路的电流规律可求得流过R2的电流;则可求得接通后电流与接通前电流的关系.
解答:解:K接通前,R1、R2串联,
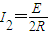
.
K接通后,由并联电路的规律可知
故
=
;
故选B.
点评:本题要注意审题,明确要求的是流过R2的电流,故应通过串并联电路的电流规律即可求得电流的比值.
解答:解:K接通前,R1、R2串联,
K接通后,由并联电路的规律可知
故
故选B.
点评:本题要注意审题,明确要求的是流过R2的电流,故应通过串并联电路的电流规律即可求得电流的比值.
练习册系列答案
相关题目