题目内容

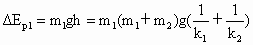
如图所示,劲度系数为的轻弹簧两端分别和质量为的物块1、2拴接,劲度系数为的轻质弹簧上端与物块2拴接,下端压在桌面上(不固定),整个系统处于平衡状态.现用力将物块1缓慢地竖直上提,直到下面那个弹簧刚脱离桌面.在此过程中,物块2的重力势能增加了________,物块1的重力势能增加了_________.

答案:略
解析:

  下面弹簧受到的压力为()g,其压缩量为:

.要使离开桌面,上升的高度为,所以的重力势能增加了

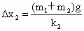
弹簧是由压缩状态转为拉伸状态的,其压缩的长度为:.当离开桌面时,伸长了,则.因此物块上升的高度为:

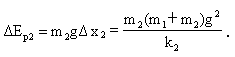
所以物块的重力势能增加量为:

  在考虑上升的距离时,可假设不动,弹簧由压缩变为拉伸状态应上升,但由于也要上升,且上升了,故上升的距离为


练习册系列答案
相关题目

违法和不良信息举报电话:027-86699610 举报邮箱:58377363@163.com

精英家教网