题目内容
(18分)如图所示,真空中有以(r,0)为圆心,半径为r的圆柱形匀强磁场区域,磁场的磁感应强度大小为B,方向垂直于纸面向里,在y=r的实线上方足够大的范围内,有方向水平向左的匀强电场,电场强度的大小为E,从O点向不同方向发射速率相同的质子,质子的运动轨迹均在纸面内,设质子在磁场中的偏转半径也为r,已知质子的电量为e,质量为m,不计重力及阻力的作用,求:
![]()
(1)质子射入磁场时的速度大小。
(2)速度方向沿x轴正方向射入磁场的质子,到达y轴所需的时间。
(3)速度方向与x轴正方向成30°角(如图所示)射入磁场的质子,到达y轴的位置坐标。
【答案】
(1)
(2)
(3)![]()
【解析】
试题分析:(1)质子进入匀强磁场做匀速圆周运动,洛伦兹力提供向心力即![]()
可得![]()
(2)速度方向沿x轴正方向射入磁场的质子运动轨迹也是半径r的圆周,根据洛伦兹力方向判断圆心在y轴上,根据几何关系可得在匀强磁场中运动四分之一圆周,垂直于电场的方向进入匀强电场,轨迹如下图
![]()
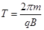
匀强磁场中圆周运动周期
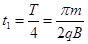
,那么此磁场中运动的时间![]()
离开磁场进入匀强电场后,初速度竖直向上,电场力水平向左,为类平抛运动,
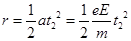
水平方向初速度0的匀加速直线运动:![]()
时间![]()
到达y轴所需的时间即![]()
(3)速度方向与x轴正方向成30°角 射入磁场的质子,磁场中运动轨迹仍是半径r的圆周,根据洛伦兹力提供向心力轨迹如图
![]()
根据几何关系四边形
是菱形,根据几何关系转过的圆心角为
从C点离开磁场垂直电场线进入电场。
C点到y轴的距离![]()
质子进入电场后仍是类平抛运动
水平方向![]()
得![]()
竖直方向匀速直线运动,电场中竖直方向位移![]()
质子进入电场前Y轴方向位移为半径r
质子到达y轴的位置为![]()
所以到达Y轴的坐标位置为![]()
考点:带电粒子在匀强电场和匀强磁场中的运动
练习册系列答案
相关题目