题目内容

消防队员在某高楼进行训练,他要从距地面高h=34.5 m处的一扇窗户外沿一条竖直悬挂的绳子滑下,在下滑过程中,他先匀加速下滑,此时手脚对悬绳的压力Nl=640 N,紧接着再匀减速下滑,此时手脚对悬绳的压力N2=2080 N,滑至地面时速度为安全速度v=3 m/s.已知消防队员的质量为m=80 kg,手脚和悬绳间的动摩擦因数为μ=0.5,g=10 m/s2,求他沿绳滑至地面所用的总时间t.

答案:
解析:

  设消防队员匀加速下滑的加速度大小为a1,根据牛顿第二定律 1分

  根据匀加速运动规律 1分

   1分

  设消防队员匀减速下滑的加速度大小为a2,根据牛顿第二定律 1分

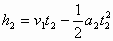
  根据匀减速运动规律 1分

   1分

  由题意知 1分

   1分

  联立以上各式并代入数据解得t=5 s 2分


练习册系列答案
相关题目

违法和不良信息举报电话:027-86699610 举报邮箱:58377363@163.com

精英家教网