题目内容
在真空中有两个完全相同的金属带电小球(视为点电荷),带电荷分别为-q1和+q2,其相互作用力大小为F,今将两小球接触一下再放回原处,这时相互作用力大小为A.q1:q2=1:1
B.q1:q2=2:3
C.q1:q2=3:1
D.q1:q2=4:1
【答案】分析:库仑定律可得出两球在接触前后的库仑力表达式,则根据电量的变化可得出接触后的作用力与原来作用力的关系.
解答:解:根据库伦定律得:
接触前,两球作用力大小为:
①
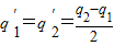
接触后:
=
或者
②
③
联立①②③解得:q1:q2=3:1或者q1:q2=1:3,故ABD错误,C正确.
故选C.
点评:对于完全相同的带电体,若带异种电荷,接触后则先中和再平分,若带同种电荷则将总电量平分.
解答:解:根据库伦定律得:
接触前,两球作用力大小为:
接触后:
联立①②③解得:q1:q2=3:1或者q1:q2=1:3,故ABD错误,C正确.
故选C.
点评:对于完全相同的带电体,若带异种电荷,接触后则先中和再平分,若带同种电荷则将总电量平分.
练习册系列答案
相关题目