题目内容
已知地球的半径为R=6400km,地球表面附近的重力加速度
,若发射一颗地球的同步卫星,使它在赤道上空运转,其高度和速度应为多大?
答案:略
解析:
解析:
|
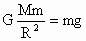
设同步卫星的质量为 m,离地面的高度为h,速度为v,周期为T,地球的质量为M,同步卫星的周期等于地球自转的周期.则有:
由①③两式得 所谓地球同步卫星,就是相对于地面是静止的,和地球具有相同周期的卫星.它具有三个特点: (1)其运动周期和地球自转周期相同(T=24小时=8.64× |
练习册系列答案
相关题目
有一星球的密度与地球的密度相同,它表面处的重力加速度为地球表面处重力加速度的k倍.已知地球的半径为R;第一宇宙速度为v;质量为M.若该星球的半径、第一宇宙速度、质量分别用R1、v1、M1表示,则以下成立的是( )
| A、R1=kR | B、R1=k2R | C、M1=k3M | D、v1=kv |