ÌâÄ¿ÄÚÈÝ

ÔÓ¼¼Öеġ°¶¥¸Í¡±ÓÉÁ½¸öÑÝÔ±¹²Í¬±íÑÝ£¬Õ¾ÔÚµØÃæÉϵÄÑÝÔ±¼ç²¿¶¥×¡Ò»¸ù³¤Öñ¸Í£¬ÁíÒ»ÑÝÔ±ÅÀÖÁÖñ¸ÍÏî¶ËÍê³É¸÷ÖÖ¶¯×÷ºóÏ»¬¡£Èô¸ÍÉÏÑÝÔ±×Ô¸ÍÏîÓɾ²Ö¹¿ªÊ¼Ï»¬£¬»¬µ½¸Íµ×ʱËÙ¶ÈÕýºÃΪÁã¡£ÒÑÖªÖñ¸Íµ×²¿ÓëÏÂÃæ¶¥¸ÍÈ˼粿֮¼äÓÐÒ»´«¸ÐÆ÷£¬´«¸ÐÆ÷ÏÔʾ¸ÍÉÏÑÝÔ±×Ô¸ÍÏϹý³ÌÖж¥¸ÍÈ˼粿µÄÊÜÁ¦Çé¿öÈçͼËùʾ¡£¸ÍÉÏÑÝÔ±ÖÊÁ¿Îª£¬³¤Öñ¸ÍÖÊÁ¿£¬£¬

£¨1£©Çó¸ÍÉϵÄÈËÏ»¬¹ý³ÌÖеÄ×î´óËÙ¶È¡£

£¨2£©Çë¹À²âÖñ¸ÍµÄ³¤¶È¡£

 

¡¾´ð°¸¡¿

£¨1£©   £¨2£©

¡¾½âÎö¡¿

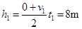
ÊÔÌâ·ÖÎö£º£¨1£©ÔÚÑÝԱϻ¬µÄǰ4Ã룬¶¥¸ÍÈ˼粿¶Ô¸ÍµÄÖ§³ÖÁ¦ÎªF1=460N£¬¸ÍºÍÉÏÃæµÄÑÝÔ±×ÜÖØÁ¦Îª500N£¬ÈËÔȼÓËÙÏ»¬£¬¼ÓËÙ¶ÈΪa1£¬¡£

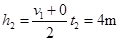
ÔÚÑÝԱϻ¬µÄ4Ãëµ½6Ã룬¶¥¸ÍÈ˼粿¶Ô¸ÍµÄÖ§³ÖÁ¦ÎªF2=580N£¬¸ÍºÍÉÏÃæµÄÑÝÔ±×ÜÖØÁ¦Îª500N£¬ÈËÔȼõËÙÏ»¬£¬¼ÓËÙ¶ÈΪa2£¬¡£

ÑÝÔ±Óɾ²Ö¹Ï»¬£¬Ï»¬4sºó´ïµ½×î´óËÙ¶È£¬ÓР¡£

£¨2£©ÔÚÑÝԱϻ¬µÄǰ4Ã룬¿É¿´³ÉÔȼÓËÙÏ»¬£¬Ï»¬¾àÀëΪh1£¬¡£

ÔÚÑÝԱϻ¬µÄºó2Ã룬¿É¿´³ÉÔȼõËÙÏ»¬£¬Ï»¬¾àÀëΪh2£¬¡£

Öñ¸ÍµÄ³¤¶È¡£

¿¼µã£º±¾Ì⿼²éÁËÅ£¶ÙµÚ¶þ¶¨ÂÉ¡¢ÔȱäËÙÖ±ÏßÔ˶¯µÄ¹æÂÉ¡¢Á¦µÄºÏ³É¡£

 

Á·Ï°²áϵÁдð°¸
Ïà¹ØÌâÄ¿

Î¥·¨ºÍ²»Á¼ÐÅÏ¢¾Ù±¨µç»°£º027-86699610 ¾Ù±¨ÓÊÏ䣺58377363@163.com

¾«Ó¢¼Ò½ÌÍø