题目内容

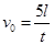
 (6分)在研究平抛物体的运动实验中,用10次/秒的频闪照相机对正在做平抛运动的小球进行拍摄,如图是所得照片的一部分。已知照片背景是每格边长为5cm的正方形格子。由图知

小球做平抛运动的初速度=___________m/s

小球做平抛运动的加速度=____________m/s2

 

【答案】

 (1)2.5m/s(3分)  (2)10m/s2(3分)

【解析】

试题分析:由于平抛物体的运动可分解为水平方向的匀速直线运动和竖直方向的自由落体运动(1)设正方形的边长为l,频闪周期t=0.1s,根据水平方向的匀速直线运动所以=2.5m/s(2)在竖直方向上,根据匀变速直线运动规律,由题意知m,t=0.1s,所以g=10 m/s2

考点:平抛物体的运动规律 匀变速直线运动规律

 

练习册系列答案
相关题目
精英家教网在“研究平抛物体的运动”实验时
(1)若按图(a)所示进行实验,小球A沿轨道滑下,离开轨道末端(末端水平)时撞开轻质接触式开关S,被电磁铁吸住的小球B同时自由下落,改变整个装置的高度H做同样的实验,发现位于同一高度的A、B两球总是同时落地,该实验现象说明了A球在离开轨道后
 
 (填字母代号).
A.水平方向的分运动是匀速直线运动
B.竖直方向的分运动是匀速直线运动
C.竖直方向的分运动是自由落体运动
D.水平方向的分运动是匀变速直线运动,竖直方向的分运动是自由落体运动
(2)在“研究平抛物体的运动”实验时,下列因素中会使该实验的误差增大的是
 

A.球与斜槽间有摩擦
B.安装斜槽时其末端不水平
C.建立坐标系时,x轴、y轴正交,但y轴不够竖直
D.根据曲线计算平抛运动初速度时,曲线上取作计算的点离原点O较远
(3)在实验操作前应该对实验进行适当的分析.某次研究平抛运动的实验装置示意如图(b)所示,小球每次都从斜槽的同一位置无初速度释放,并从斜槽末端水平飞出.改变水平板的高度,就改变了小球在板上落点的位置,从而可描绘出小球的运动轨迹.某同学设想小球先后三次做平抛,将水平板依次放在如图1、2、3的位置,且1与2的间距等于2与3的间距.若三次实验中,小球从抛出点到落点的水平位移依次是x1,x2,x3,机械能的变化量依次为△E1,△E2,△E3,忽略空气阻力的影响,下面分析正确的是
 

A.x2-x1=x3-x2,△E1=△E2=△E3        B.x2-x1>x3-x2,△E1=△E2=△E3
C.x2-x1>x3-x2,△E1<△E2<△E3           D.x2-x1<x3-x2,△E1<△E2<△E3

(18分)(1)(4分)在如图甲所示的实验中,A、B两球同时落地,说明平抛运动在竖直方向上___________。 某同学设计了如图乙的实验:将两个相同的轨道固定在同一竖直平面内,最下端水平,其中轨道2与光滑水平轨道平滑相接.现把两个质量相等的小钢球,从倾斜轨道的相同位置由静止同时释放,则他将观察到的现象是:在水平轨道上球1击中球2,这说明平抛运动在水平方向上____             _。

(2)(10分)若用图3所示的平抛仪来做研究平抛运动的实验,该实验所需器材包括:附带金属小球的斜槽,木板及竖直固定支架,白纸,图钉,          ,三角板,重锤,铅笔等。

实验简要步骤如下:

 

A.让小球多次从___位置上由静止滚下,记下小球运动的一系列位置.

B.安装好器材,注意__________,记下轨道末端O点和过O点的竖直线.

C.测出曲线上某点的坐标x、y,用v=__    __。算出该点的瞬时速度.

D.取下白纸,以O为原点,以竖直线为轴建立坐标系,用平滑曲线画平抛轨迹.

上述实验步骤的合理顺序是__________。

(3)(4分)在“研究平抛物体的运动”的实验中,记录了下图所示的一段轨迹ABC.已知物体是由原点O水平抛出的,C点的坐标为(60,45),则平抛物体的初速度为v0=___________m/s,物体经过B点时下落的高度为hB=___________m.(取g=10 m/s2

 

 

违法和不良信息举报电话:027-86699610 举报邮箱:58377363@163.com

精英家教网