题目内容

如图,发射远程轨道导弹,弹头脱离运载火箭后,在地球引力作用下,沿椭圆轨道飞行,击中地面目标B。C为椭圆的远地点,距地面高度为h。已知地球半径为R,地球质量为M,引力常量为G。关于弹头在C点的速度v和加速度a,正确的是 (     ) 

A.  

B.  

C.  

D.  

 

【答案】

B

【解析】

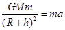
试题分析:由于通过C点后导弹做近心运动,因此,可得在C的速度,而根据牛顿第二定律,在C点处,可知加速度,B正确

考点:万有引力与航天,牛顿第二定律

 

练习册系列答案
相关题目

违法和不良信息举报电话:027-86699610 举报邮箱:58377363@163.com

精英家教网