题目内容
(15分)一匀强电场,场强方向水平向左,如题7图所示.一个质量为
的带正电的小球,从
点出发,初速度的大小为
,在静电力与重力的作用下,恰能沿与场强的反方向成
角的直线运动.求:
![]()
(1)小球运动的加速度大小.
(2)小球从
点运动到最高点的过程中电势能的变化.
【答案】
(1)
(2) ![]()
【解析】
试题分析:(1)设小球的电荷量为
,因小球做直线运动,则它受到的静电力
和重力
的合力方向必与初速度方向在同一直线上,如图所示.
![]()
有:
① (4分)
由此可知,小球做匀减速直线运动的加速度大小为
② (3分)
(2)设从O点到最高点的位移为
,有
③ (2分)
运动的水平距离为
④ (1分)
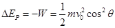
由以上各式可得静电力做功
⑤ (3分)
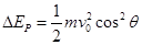
电势能的变化
⑥ (2分)
考点:本题考查了牛顿第二定律、匀变速直线运动的规律、电场力做功与电势能变化.
练习册系列答案
相关题目
| 3 |
| 3 |
A、该匀强电场的场强E=40
| ||
| B、该匀强电场的场强E=80V/m | ||
C、d点的电势为-2
| ||
| D、d点的电势为-4V |