ÌâÄ¿ÄÚÈÝ

ÈçͼËùʾ£¬³¤ÎªL=9mµÄ´«ËÍ´øÓëˮƽ·½ÏòµÄÇã½Ç¦È=37¡ã£¬Ôڵ綯»úµÄ´ø¶¯ÏÂÒÔv=4m/sµÄËÙÂÊÑØË³Ê±Õë·½ÏòÔËÐУ¬ÔÚ´«ËÍ´øµÄB¶ËÓÐÒ»Àë´«ËÍ´øºÜ½üµÄµ²°åP¿É½«´«ËÍ´øÉϵÄÎïÌ嵲ס£¬ÔÚ´«ËÍ´øµÄA¶ËÎÞ³õËٶȵØÊÍ·ÅÒ»ÖÊÁ¿m=1KgµÄÎïÌ壬ËüÓë´«ËÍ´øÖ®¼äµÄ¶¯Ä¦²ÁÒòÊýΪ0.5£¬ÎïÌåÓëµ²°åÅöײʱµÄÄÜÁ¿Ëðʧ¼°Åöײʱ¼ä¾ù²»¼Æ¡££¨sin37¡ã=0.6£¬cos37¡ã=0.8£©

¢ÙÔÚÎïÌå´ÓµÚÒ»´ÎÓɾ²Ö¹¿ªÊ¼Ï»¬µ½Óëµ²°åPµÚÒ»´ÎÏàÅöºó£¬ÎïÌåÔÙ´ÎÉÏÉýµ½×î¸ßµãµÄ¹ý³ÌÖУ¬ÓÉÓÚĦ²Á¶ø²úÉúµÄÈÈÁ¿Îª¶àÉÙ£¿

¢ÚÊÔÇóÎïÌå×îÖÕµÄÔ˶¯×´Ì¬ÒÔ¼°´ïµ½¸ÃÔ˶¯×´Ì¬ºóµç¶¯»úµÄÊä³ö¹¦ÂÊP¡£

 

¡¾´ð°¸¡¿

£¨1£©100.8J  £¨2£©×îÖÕÎï¿éÔÚPÓëÀëP 4mµÄ·¶Î§ÄÚ²»¶Ï×öÏòÉϵļÓËÙ¶ÈΪ2 m/s2µÄ¼õËÙÔ˶¯ºÍÏòÏÂ×ö¼ÓËÙ¶ÈΪ2 m/s2µÄ¼ÓËÙÔ˶¯  16w

¡¾½âÎö¡¿

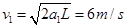
ÊÔÌâ·ÖÎö£º£¨1£©Îï¿é´ÓAµãÓɾ²Ö¹ÊÍ·Å£¬Îï¿éÏà¶Ô´«ËÍ´øÏòÏ»¬£¬Îï¿éÑØ´«ËÍ´øÏòϼÓËÙÔ˶¯µÄ¼ÓËÙ¶È  

ÓëPÅöǰµÄËÙ¶È

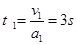
Îï¿é´ÓAµ½BµÄʱ¼ä

Ôڴ˹ý³ÌÖÐÎï¿éÏà¶Ô´«ËÍ´øÏòÏÂÎ»ÒÆ

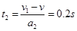
µ²°åÅöײºó£¬ÒÔv1µÄËÙ¶È·´µ¯£¬Òò£¬Îï¿éÏà¶Ô´«ËÍ´øÏòÉÏ»¬£¬Îï¿éÏòÉÏ×ö¼õËÙÔ˶¯µÄ¼ÓËÙ¶ÈΪ

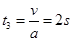
Îï¿éËٶȼõСµ½Óë´«ËÍ´øËÙ¶ÈÏàµÈµÄʱ¼ä

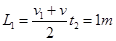
ÔÚt2ʱ¼äÄÚÎï¿éÏòÉϵÄÎ»ÒÆ

Îï¿éÏà¶Ô´«ËÍ´øÏòÉϵÄÎ»ÒÆ 

Óë´«ËÍ´øËÙ¶ÈÏàµÈºóÎï¿éÏà¶Ô´«ËÍ´øÏòÏ»¬£¬Îï¿éÏòÉÏ×ö¼õËÙÔ˶¯µÄ¼ÓËÙ¶È

Îï¿éËٶȼõСµ½ÁãµÄʱ¼ä

Îï¿éÏòÉϵÄÎ»ÒÆ

´Ë¹ý³ÌÖÐÎï¿éÏà¶Ô´«ËÍ´øÏòϵÄÎ»ÒÆ

Ħ²ÁÉúÈÈ

£¨2£©Îï¿é¿éÉÏÉýµ½´«ËÍ´øµÄ×î¸ßµãºó£¬Îï¿éÑØ´«ËÍ´øÏòϼÓËÙÔ˶¯£¬Óëµ²°åPµÚ¶þ´ÎÅöµ§Ç°µÄËÙ¶È

ÅöºóÒò£¬Îï¿éÏÈÏòÉÏ×ö¼ÓËÙ¶ÈΪµÄ¼õËÙÔ˶¯£¬ÔÙ×ö¼ÓËÙ¶ÈΪ µÄ¼õËÙÔ˶¯£¬Îï¿éÏòÉϵÄÎ»ÒÆÎª

Îï¿éÓëµ²°åµÚÈý´ÎÅöײǰµÄËÙ¶È

ÔÚ´ËÀàÍÆ¾­¹ý¶à´ÎÅöײºóÎï¿éÒÔ µÄËÙ¶È·´µ¯£¬¹Ê×îÖÕÎï¿éÔÚPÓëÀëP 4mµÄ·¶Î§ÄÚ²»¶Ï×öÏòÉϵļÓËÙ¶ÈΪ2 m/s2µÄ¼õËÙÔ˶¯ºÍÏòÏÂ×ö¼ÓËÙ¶ÈΪ2 m/s2µÄ¼ÓËÙÔ˶¯£¬Îï¿éµÄÔ˶¯´ïµ½ÕâÒ»Îȶ¨×´Ì¬ºó£¬Îï¿é¶Ô´«ËÍ´øÓÐÒ»Óë´«ËÍ´øÔ˶¯·½ÏòÏà·´µÄ×èÁ¦£¨·ÖÎö¹ý³Ì×ÃÇ鏸·Ö£©

Êä³ö¹¦ÂÊ

¿¼µã£ºÏà¶ÔÔ˶¯ ¹¦ÂÊ

 

Á·Ï°²áϵÁдð°¸
Ïà¹ØÌâÄ¿
£¨1£©Ä³Í¬Ñ§ÓÃʱ¼ä´«¸ÐÆ÷´úÌæÁËÃë±í×ö¡°Óõ¥°Ú²â¶¨ÖØÁ¦¼ÓËÙ¶È¡±µÄʵÑ飬ËûµÄÉè¼ÆÈçͼËùʾ£º³¤ÎªLµÄ°ÚÏßÒ»¶Ë¹Ì¶¨ÔÚÌú¼Ų̈ÉÏ£¬ÁíÒ»¶ËÁ¬½ÓÒ»ÖÊÁ¿Îªm¡¢°ë¾¶ÎªrµÄСÇò£¬ÔÚ°ÚÏßÉϽôÁÙСÇòÌ×ÓÐһС¶ÎÇáϸµ²¹â¹Ü£¬µ±µ¥°Ú°Ú¶¯µ½Æ½ºâλÖÃʱ£¬µ²¹â¹ÜÄܵ²×¡´Ó¹âÔ´AÕý¶Ô¹âÃôµç×èR1·¢³öµÄϸ¹âÊø£¬ÐźŴ¦Àíϵͳ¾ÍÄÜÐγÉÒ»¸öµçѹÐźţ¬Á½¶ËµçѹuÓëʱ¼ätµÄ¹ØÏµÈçͼÒÒËùʾ£¬R2Ϊ¶¨Öµµç×裮
¢ÙÓôË×°ÖòâµÃµÄÖØÁ¦¼ÓËٶȱí´ïʽΪ
 
£®
¢Úµ±ÓйâÕÕʱ£¬ÐźŴ¦Àíϵͳ»ñµÃµÄÊÇ
 
£®£¨Ìî¡°u1¡±»ò¡°u2¡±£©
¾«Ó¢¼Ò½ÌÍø
£¨2£©ÏÖÓÐÏÂÁÐÆ÷²Ä£º
A£®6VÐîµç³ØÒ»×飨ÄÚ×èÔ¼0.1¦¸£©
B£®Ö±Á÷µçÁ÷±í£¨0¡«0.2A£©Ò»Ö»
C£®Ö±Á÷µçÁ÷±í£¨0¡«0.02A£©Ò»Ö»
D£®Ö±Á÷µçѹ±í£¨0¡«3V£©Ò»Ö»
E£®Ö±Á÷µçѹ±í£¨0¡«10V£©Ò»Ö»
F£®»¬¶¯±ä×èÆ÷£¨0¡«10¦¸£©Ò»Ö»
G£®»¬¶¯±ä×èÆ÷£¨0¡«500¦¸£©Ò»Ö»
H£®µç×èÏ䣨0¡«9999.9¦¸£¬Im=0.2A£©
I£®µç¼üÒ»Ö»¡¢µ¼ÏßÈô¸É
ÏÖÔÚÒª±È½Ï׼ȷµØ²âÁ¿Ò»Ö»Ô¼0.6¦¸µç×èµÄ×èÖµ£º
¢ÙÔÚÐéÏß¿ò£¨Í¼±û£©Öл­³öʵÑéµÄÔ­Àíͼ£»
¢ÚʵÑéÖгýÁ˵çÔ´¡¢µç¼üºÍµ¼ÏßÍ⣬»¹ÐèÒªµÄÆ÷²ÄÊÇ
 
£»£¨ÓÃÆ÷²ÄǰµÄ×Öĸ±íʾ£©
¢Ûд³ö²âÁ¿µç×èµÄ±í´ïʽRx=
 
£»±í´ïʽÖи÷·ûºÅµÄÎïÀíÒâÒåÊÇ
 
£®
£¨2010?ËÕÖݶþÄ££©ÈçͼËùʾ£¬¼ä¾àΪLµÄƽÐнðÊô°åAB¡¢CDÖ®¼äÓÐÏ໥´¹Ö±µÄÔÈÇ¿µç³¡ºÍÔÈÇ¿´Å³¡£¨Í¼ÖÐδ»­³ö£©£¬µç³¡Ç¿¶ÈΪE1£¬´Å¸ÐӦǿ¶ÈΪB1£®´øÒìÖÖµçºÉµÄÁ½Àë×Óa¡¢b£¬¸ºÀë×ÓaÖÊÁ¿Îªm¡¢´øµçÁ¿Îªq£¬Æä±ÈºÉΪÕýÀë×Ób±ÈºÉµÄ9±¶£®ËüÃÇÔÚ·Ö±ð¾àÀëAB¡¢CD°åL/4´¦£¬ÒÔÆ½ÐÐÓÚ½ðÊô°å·½ÏòµÄËÙ¶ÈÑØÖ±Ïß´©¹ýABCDÇøÓò½øÈëµç³¡Ç¿¶ÈΪE2µÄÔÈÇ¿µç³¡Çø£¬E2ÓëE1ƽÐУ®MNPÎªÑØAB¡¢CDÖÐÐÄÏß·½ÏòµÄ¹â»¬¾øÔµ°å£¬Àë×ÓÓë°åÅöײºó·´µ¯ÎÞÄÜÁ¿Ëðʧ£¨¼´·´µ¯Ç°ºóˮƽ·ÖËٶȱ£³Ö²»±ä£¬ÊúÖ±·ÖËÙ¶È´óС²»±ä¡¢·½ÏòÏà·´£©£¬ÇÒµçÁ¿±£³Ö²»±ä£¬µ½´ï°åµÄNµãºó·´µ¯½øÈë´Å¸ÐӦǿ¶ÈΪB2µÄÔÈÇ¿´Å³¡Çø£¬²»¼ÆÁ½Àë×Ó¼äµÄÏ໥×÷ÓÃÁ¦¼°ÖØÁ¦£®
£¨1£©ÔÚͼÖл­³öAB¡¢CD¼äÔÈÇ¿´Å³¡B1µÄ·½Ïò£¬²¢Ð´³öÀë×ÓËÙ¶È´óСµÄ±í´ïʽ£»
£¨2£©MNµÄ³¤¶ÈÒªÂú×ãʲôÌõ¼þ£¬Á½Àë×ÓÄÜÇ¡ºÃµ½´ïNµã£¿
£¨3£©ÈôaÀë×ӵıȺÉq/m=108C/kg£¬El=103V/m£¬Bl=0.1T£¬E2=3¡Á103V£¬L=2¡Á10-3m£¬ÇÒ°åNP×ã¹»³¤£®ÔòÁ½Àë×Ó½øÈëÔÈÇ¿´Å³¡B2ºó£¬ÑذåNP·½ÏòÉÏÆ½¾ùËÙ¶ÈÖ®±ÈΪ¶àÉÙ£¿

Î¥·¨ºÍ²»Á¼ÐÅÏ¢¾Ù±¨µç»°£º027-86699610 ¾Ù±¨ÓÊÏ䣺58377363@163.com

¾«Ó¢¼Ò½ÌÍø