题目内容

如图所示,A是地球的同步卫星.另一卫星B的圆形轨道位于赤道平面内,离地面高度为h.已知地球半径为R,地球自转角速度为ω0,地球表面的重力加速度为g,O为地球中心.求:

(1)卫星B的运行周期.

(2)如卫星B绕行方向与地球自转方向相同,某时刻A、B两卫星相距最近(O、B、A在同一直线上),则至少经过多长时间,他们再一次相距最近?

答案:
解析:

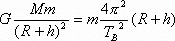
  解:(1)由万有引力定律和向心力公式得 ① (3分)

  在地球表面有  ②  (2分)

  由①②得卫星B的运行周期   ③  (2分)

  (2)再次相遇,有    ④  (3分)

  由③得: ⑤  (2分)

  代入④得相遇时间为  (3分)

练习册系列答案
相关题目

违法和不良信息举报电话:027-86699610 举报邮箱:58377363@163.com

精英家教网