题目内容

如图所示,a、b、c、d为匀强电场中四个等势面,相邻等势面间距离为2 cm,已知UAC=60 V,求:

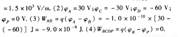
1.电场强度是多大?

2.设B点电势为零,求A、C、D、P点的电势.

3.求将q=-1.0×10-10C的点电荷由A移到D电场力所做的功WAD

4.将q=2×10-10C的点电荷由B移到C,再经D最后回到P,电场力所做的功WBCDP

 

【答案】

 

1.

2.

3.

4.0

【解析】

 

练习册系列答案
相关题目

违法和不良信息举报电话:027-86699610 举报邮箱:58377363@163.com

精英家教网