题目内容

如图所示,竖直放置的平行带电导体板A、B和水平放置的平行带电导体板C、D,B板上有一小孔,从小孔射出的带电粒子刚好可从C、D板间左上角切入C、D板间电场,已知C、D板间距离为d,长为2d,  UAB=UCD=U>0,在C、D板右侧存在有一个垂直向里的匀强磁场。质量为m,电量为q的带正电粒子由静止从A板释放,沿直线运动至B板小孔后贴近C板进入C、D板间,最后能进入磁场中。带电粒子的重力不计。求:

(1)带电粒子从B板小孔射出时的速度大小v0;

(2)带电粒子从C、D板射出时的速度v大小和方向;

(3)欲使带电粒子不再返回至C、D板间,右侧磁场的磁感应强度大小应该满足什么条件?

 

【答案】

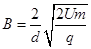
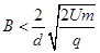
(1);(2)方向与水平成斜向下;(3)

【解析】

试题分析:(1)(4分)带电粒子通过AB板间时由动能定理得

 (2分)     (2分)

(2)(6分)带电粒子在CD板间做类平抛运动,沿导体板方向做匀速运动,垂直导体板方向做初速为零的匀加速运动,加速度设为a,射出CD板时速度方向与水平间夹角设为。      

            (4分)

(以上列式方程的组合有多种,如先求出偏转位移,再利用动能定理求射出速度大小和方向等等,列式完整同样给4分)

 (1分)     (1分) 

(3)(8分)带电粒子在CD电场中的偏转位移

  (2分)

由此可知带电粒子从CD导体板的右下角射出再进入匀强磁场中,欲使粒子不再返回CD板间,带电粒子做圆周运动至CD板右上角时为临界状态,设圆周运动的半径为R,磁感应强度为B。

        (2分)

        (2分)

          (2分)

考点:带电粒子在电磁场中的运动

 

练习册系列答案
相关题目

违法和不良信息举报电话:027-86699610 举报邮箱:58377363@163.com

精英家教网