ÌâÄ¿ÄÚÈÝ

ÓÐһ̨·¢³öϸ¹âÊøµÄ¼¤¹âÆ÷×°ÔÚСת̨MÉÏ£¬×ªÌ¨ÒԺ㶨µÄ½ÇËÙ¶Èת¶¯£¬Ê¹¼¤¹âÊøÔÚÊúÖ±Æ½ÃæÄÚɨÃ裬Сת̨MλÓÚÒºÌ峨µÄµ×²¿£¬³ØµÄÉî¶ÈΪ3m£¬¿í¶È×ã¹»´ó£¬ÈçͼËùʾ£®ÔÚСת̨MµÄÕýÉÏ·½£¬Óй̶¨ÔÚÊúÖ±Æ½ÃæÄÚµÄÔ²»¡ÐÎÏÔʾÆÁ£¬Ô²ÐÄλÓÚСת̨M´¦£¬Ô²»¡µÄÔ²ÐĽÇΪ120¡ã£¬°ë¾¶ÎªR=10m£¬CµãÊÇÔ²»¡ABµÄÖе㣬CÓëMµÄÁ¬ÏßÊÇÒ»ÌõÊúÖ±Ïߣ®³ØÖÐûÓÐÒºÌåʱ£¬¼¤¹âÊø´ÓAɨÃèµ½BËùÐèµÄ×î¶Ìʱ¼ä£¬µ±³ØÖÐ×°ÂúijÖÖÒºÌåʱ£¬¼¤¹âÊø´ÓAɨÃèµ½BËùÐèµÄ×î¶Ìʱ¼ä£¬ÇóÒºÌåµÄÕÛÉäÂÊ£®

´ð°¸£ºÂÔ
½âÎö£º

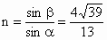
½âÎö£ºÈçͼËùʾµÄ¹â·ͼÖЦÂΪÕÛÉäµ½BµãµÄÕÛÉä½Ç£¬¦ÁΪ¶ÔÓ¦µÄÈëÉä½Ç£®

£¬

£¬£¬

EF=Rcos60¡ã¨D3=2m£¬

£¬

£¬£®


Á·Ï°²áϵÁдð°¸
Ïà¹ØÌâÄ¿

Î¥·¨ºÍ²»Á¼ÐÅÏ¢¾Ù±¨µç»°£º027-86699610 ¾Ù±¨ÓÊÏ䣺58377363@163.com

¾«Ó¢¼Ò½ÌÍø