题目内容

某同学利用图甲所示的实验装置,探究物块在水平桌面上的运动规律。物块在重物的牵引下开始运动,重物落地后,物块再运动一段距离停在桌面上(尚未到达滑轮处)。从纸带上便于测量的点开始,每5个点取1个计数点,相邻计数点间的距离如图乙所示。打点计时器电源的频率为50Hz

 

(1)通过分析纸带数据,可判断物块在两相邻计数点_____和______之间某时刻开始减速。

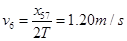
(2)计数点5对应的速度大小为________m/s,计数点6对应的速度大小为______m/s.(保留三位有效数字)

(3)物块减速运动过程中加速度的大小为a=_______

 

【答案】

(1)6,7  (2)1.00  ,1.20    (3)2.00 

【解析】

试题分析:(1)  由于纸带每两个点之间的时间相同,从纸带上的数据分析得知:在点计数点6之前,两点之间的位移逐渐增大,是加速运动,在计数点7之后,两点之间的位移逐渐减小,是减速运动,所以物块在相邻计数点6和7之间某时刻开始减速;

(2)用平均速度代替瞬时速度的方法求解瞬时速度,即

(3)用逐差法求解减速过程中的加速度:

考点:本题考查了匀变速直线运动规律、纸带上求瞬时速度和加速度的方法。

 

练习册系列答案
相关题目
(1)某同学利用图甲所示的实验装置,探究物块在水平桌面上的运动规律.物块在重物的牵引下开始运动,重物落地后,物块再运动一段距离停在桌面上(尚未到达滑轮处).从纸带上便于测量的点开始,每5个点取1个计数点,相邻计数点间的距离如图乙所示.打点计时器电源的频率为50Hz
精英家教网
①通过分析纸带数据,可判断物块在两相邻计数点
 
 
之间某时刻开始减速.
②计数点5对应的速度大小为
 
m/s,计数点6对应的速度大小为
 
m/s.(保留三位有效数字)
③物块减速运动过程中加速度的大小为a=
 
m/s2,若用
ag
来计算物块与桌面间的动摩擦因数(g为重力加速度),则计算结果比动摩擦因数的真实值
 
(填“偏大”或“偏小”).
精英家教网(2)在测量金属丝电阻率的实验中,可供选用的器材如下:
待测金属丝:Rx(阻值约4Ω,额定电流约0.5A);
电压表:V(量程3V,内阻约3KΩ);
电流表:A1(量程0.6A,内阻约0.2Ω);
A2(量程3A,内阻约0.05Ω);
电源:E1(电动势3V,内阻不计);
E2(电动势12V,内阻不计);
滑动变阻器:R(最大阻值约20Ω);
螺旋测微器;毫米刻度尺;开关S;导线.
①用螺旋测微器测量金属丝的直径,示数如图丙所示,读数为
 
mm.
②若滑动变阻器采用限流接法,为使测量尽量精确,电流表应选
 
、电源应选
 
(均填器材代号),在虚线框内(如图丁)完成电路原理图.

违法和不良信息举报电话:027-86699610 举报邮箱:58377363@163.com

精英家教网