题目内容

(12分)如图所示,空间存在水平向右的匀强电场. 在竖直平面内  建立平面直角坐标系,在坐标系的一象限内固定绝缘光滑的半径为R的1/4圆周轨道AB,轨道的两端在坐标轴上。质量为m的带正电的小球从轨道的A端由静止开始滚下,已知重力为电场力的2倍,求:

(1)小球在轨道最低点B时对轨道的压力;

(2)小球脱离B点后开始计时,经过多长时间小球运动到B点的正下方?并求出此时小球距B的竖直高度h是多大?

 

【答案】

(1),(2)

【解析】

试题分析:(1) 小球从释放到运动至轨道最低点的过程中,

由动能定理得: 

在轨道最低点时,有:

联立上述各式得:   

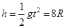
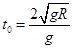
(2)小球的运动,在竖直方向是自由落体运动,水平方向是往返运动,

由运动的分解可知,当水平速度变为零时,有:

   得

设经历T运动到B点的正下方,则

考点:自由落体运动,圆周运动向心力,动能定理

 

练习册系列答案
相关题目

违法和不良信息举报电话:027-86699610 举报邮箱:58377363@163.com

精英家教网